Cxv Av
236k Followers, 932 Following, 236 Posts See Instagram photos and videos from L E T Í C I A X A V I E R 🔥 (@leticiacx_).
Cxv av. List of 6letter words containing the letters V and X There are 15 sixletter words containing V and X CERVIX CONVEX EXUVIA VOLVOX VORTEX VOXELS Every word on this site can be used while playing scrabble Build other lists, that begin with or end with letters of your choice. Tribunal de Justiça do Paraná TJPR PROCESSO CÍVEL E DO TRABALHO Recursos Recurso Inominado RI PR. Store photos and docs online Access them from any PC, Mac or phone Create and work together on Word, Excel or PowerPoint documents.
What I want to do in this video is introduce the idea of a universal set or the universe that we care about and also the idea of a complement or an absolute complement and so if we're doing it as a Venn diagram the universe is usually depicted as some type of a rectangle right over here and it itself is a set and it usually is denoted with the capital u you for universe not to be confused with. I was using notepad, and the command prompt on Windows 10 when the C, V, and H keys stopped working, sometimes when smashing the V key by itself out of frustration it would decide to paste whatever was on the clipboard. Molarity is the term used to describe a concentration given in moles per litre Molarity has the units mol L1 (or mol/L or M);.
Find Your Path Stepbystep help to get started learn more »;. X C V B 28K likes UK Streewear brand. Title Microsoft Word Access to Other Services Author sjoyce Created Date 9/25/18 AM.
Support the stream https//streamlabscom/irmosamarante. X v P A V X e ́A ̊ i Q C E Q p j x X g ȏ Ԃɕۂ Ƃɂ āA ̐ ہi ̉ ̒ቺ E j ƐQ Ԃ R ɑ A E o ̃ Y 𐮂 ܂ B A f ނɂ ̂ł͂Ȃ A ̂ɗD f ނ I A ŏ ̃A C e ŗǎ Ȑ ܂ 悤 ɐv ꂽ A K A N ̂ ߂̋@ \ Q ł B. Used REYN SPOONER S/S shirts/ Q /Rayon 100 %/L F g 65 ~ 68cm/\3800 i ō j A J ŏW ߂ A C X v i ̌Ò ̃A n V c ł BREYN SPOONER Ƃ Ă͒ 100%.
Mar 15, 21 · Title Microsoft Word What to know before coming to Wraysbury Dive Centre Author marky Created Date 3/15/21 AM. Title Microsoft Word GEOFFREY ROEPSTORFF Author lpuerto Created Date 2/25/21 243 PM. EC02 Spring 06 HW3 Solutions February 2, 06 3 Problem 224 • The random variable X has PMF PX (x) = ˆ c/x x = 2,4,8, 0 otherwise (a) What is the value of the constant c?.
Title Microsoft Word 0019_Brondell Warranty Policy_September 19doc Author Parker Created Date 8//19 PM. Alpine Minerals A v X Y z Alp 21 Lengenbachite Q o b n z 64x42x30cm Lengenbach KtWallis Switzerland X C X Alp Dufrenosite f t m C z 39x27x25cm Lengenbach KtWallis Switzerland Smate 2 Lazulite V @ 62x40x57cm @ 100. Txt hdrsgml accession number conformed submission type 8k public document count 11 conformed period of report item information entry into a material definitive agreement item information financial statements and exhibits filed as of date.
β , , θ γ= decrease in angle between lines a and b γθβ= – dv θ≈ d x = v,x γ= v,x – β σ= Eε τ= Gγ τ σ F M V. Title Microsoft Word Document1 Author phuongvo Created Date 9/24/ PM. &7C ( )˝0)˜#’)?>8G7IS ˚E FD @aå `V\ZdYd ^ cVg =dY VZibVa miZgcq_ eaVc > shdb eaVc Ic efZdefZa^a cVb ghVhr AYd gqcdXråb^ ^ Zdmfrb^ mf Efgh IZcV`d b\Zi cVb^ ^ gdXfnccqb =d\r^b Vbqgadb ghr dZcV 9.
Molarity, concentration in mol/L or mol L1, is given the symbol c (sometimes M) For a 001 mol L1 HCl solution we can write HCl = 001 mol L1 (concentration implied by square brackets around formula). Title SASB rollout_for postingxlsx Author eswindl Created Date 12/30/ PM. The DFW CIV, DFW CV, DFW CVI, and DFW F37 were a family of German reconnaissance aircraft first used in 1916 in World War IThey were conventionally configured biplanes with unequalspan unstaggered wings and seating for the pilot and observer in tandem, open cockpits Like the DFW CII before them, these aircraft seated the gunner to the rear and armed him with a machine gun.
Continuing Education Shortterm job training, certifications, and personal enrichment learn more ». Gas X 65 0056 Gas Y 80 0011 then a V c (X) V c (Y) b P c (X) P c (Y) c T c (X) T c (Y) Then the correct alternate statements are b and c The vander waals constant a represents magnitude of attractive forces between the molecules. Disclaimer All content on this website, including dictionary, thesaurus, literature, geography, and other reference data is for informational purposes only.
Math explained in easy language, plus puzzles, games, quizzes, worksheets and a forum For K12 kids, teachers and parents. V A v ì d A ì v A v ì Á Z o D u Æ W v A r ~ v l µ A = v A v = v d X v ~ E X v ~ v µ v d UE. Title Microsoft Word Your Career At SUMMIT Brochure Author Farivar Created Date 4//19 PM.
CVP is generally measured at the junction of the superior vena cava and the right atrium This is most commonly this is done via a central venous catheter. X hdmcdgh^ defZa^a, `V` Vedac^hr shdh efdb\ihd` Xfbc^!. Despite the impracticality of using Roman numerals for mathematical calculations, which led to the widespread use of the HinduArabic numeral system we know today, some people do still argue for the importance of teaching Roman numerals in schools Proponents believe that Roman numerals have enduring cultural relevance, as seen in their continued use in sporting event titles and book.
View Review_Exam1pdf from PHYS 195 at San Diego State University PHYSICS 231 Review problems for midterm 1 (A) v f v0 at ( ) (B) x vo t att (C) x v f t at (D) x 12 (v0 v f )t v t (E) x. Title Microsoft Word Who is responsible for submitting a notificaiton Author sarahs Created Date 8/27/18 PM. Jan 07, 1999 · The most obvious reason is that Ctrl Z, X, C, V are most convenient for some of the most common operations Undo, Cut, Copy and Paste Simply because.
A^V{dZ \^CV Ca^V}W'd)eChg \cgd)eCV'a fcCd Yh a^V _V'W'\ \cCgf@ 8 _Xj8geCi{f^Cd a^\ hCgf^\qXZeCW'V'f x f6ªZ Ca^V'W}d)eChCg\cg d eCV'acfKfcCd Y h¿_Xj)VBfc XZY Y hCg Xb V'\^V'acf6 Ó2db`V'j)V'aª g \ gfs\^CV i aqXZ C f^\ca x W}\ acV db B\^CV ¨ ¦. Finish High School High school completion, GED®, or English as a Second Language learn more »;. Watch more vids on Kamcord Download Kamcord for iOS http//bitly/kcwprCheck out this video I made with My Talking Angela Get the app http//o7nco/MyAngela.
Above are the results of unscrambling eocnvy Using the word generator and word unscrambler for the letters E O C N V Y, we unscrambled the letters to create a list of all the words found in Scrabble, Words with Friends, and Text Twist. Jul 31, · 鳥取県と鳥取市は29日夜、同市在住の50代女性と40代男性が新型コロナウイルスに感染したと発表し、30日に対策本部会議と記者会見で行動歴など. Title Microsoft Word class4 English worksheet and answer key Author Toshiba Created Date 10/9/ PM.
Degree, Diploma, or Certificate Choose a career or transfer to a university learn more »;. Wow, this problem persists after 11 years huh?. Frequently used equations in physics Appropriate for secondary school students and higher Mostly algebra based, some trig, some calculus, some fancy calculus.
March 19, Subject Employee Leave Related to COVID19 This email is for the purpose of notifying you that the ELT has approved an update to our Pandemic. This list of all twoletter combinations includes 1352 (2 × 26 2) of the possible 2704 (52 2) combinations of upper and lower case from the modern core Latin alphabetA twoletter combination in bold means that the link links straight to a Wikipedia article (not a disambiguation page) As specified at WikipediaDisambiguation#Combining_terms_on_disambiguation_pages,. Z ^ X V V ` a V a X b ` c X V d X V c ` X a Title Religion Author Christoph Terno Created Date 8/16/13 PM 0 downloads 50 Views 487KB Size.
LESSON #21 Truth Functions Reading Assignment 62 (pp ) Click here to skip the following discussion and go straight to the assignments Each of the five connectives can be defined in terms of a corresponding truth functionThese truth functions are represented by the little charts, or truth tables that capture all the possible combinations of the truth or falsity of the.

Qsc Cx 302v 2 Channel Direct Output Power Amplifier Cx302v B H

Mazda Cx 30 Vs Toyota C Hr And Honda Hr V Parkers

19 Honda Cr V Vs 19 Mazda Cx 5 Head To Head U S News World Report
Cxv Av のギャラリー

Mazda Cx 3 V Kia Stonic V Hyundai Venue Comparison

Aluminum Electrolytic Capacitors Principles Elna

Solved Prove That I J K P Q R 1 2 3 Pqr Pqr Chegg Com

Solved Problems 1 Consider The Random Variables X And Y Chegg Com

Numbers In Roman Numerals To 3000

Suv Wars 21 Subaru Crosstrek Sport Vs Mazda Cx 30 And Honda Hr V Torque News

Comparison 19 Mazda Cx 5 Vs 19 Toyota Rav4 Car News Auto123

Front Splitter V 1 Mazda Cx 5 Facelift Our Offer Mazda Cx 5 Fl Maxton Design

The 21 Honda Cr V Just Outranked The Mazda Cx 5

Join Ordering Part Ii The Sql

17 Mazda Cx 3 V Toyota C Hr V Subaru Xv V Mitsubishi Asx Comparison Drive Com Au Youtube

22 Honda Hr V Detailed Mazda Cx 30 Nissan Qashqai And Mitsubishi Eclipse Cross Rival Goes Hybrid Car News Carsguide

New Holland Combine Harvesters Cx7 Cx8 Stage V Overview Nhag

Idx System Technology X Tap Dc Cable With Bare Leads C Xtap2 B H

B X V At V Is A Dimensionally Valid T C Equation Obtain The Dimensional Formula For A B And C Where V Is Velocity T Is Time And V Is Initial

19 Honda Cr V Vs 19 Mazda Cx 5 Which Is Better Autotrader

Solved Exercises 1 Show That U X Y Is Harmonic In Some Chegg Com

Mazda Cx 5 Vs Honda Cr V Which One Is Right For You Autoguide Com

Proton X50 Specs Compared To The X70 Honda Hr V Toyota C Hr Mazda Cx 3 Cx 30 And Other Suvs Paultan Org

Honda Cr V Vs Mazda Cx 5 The Head And The Heart Of Suvs

Transverse V Twin Honda Cx500

Emacs Keys Basics

Honda Cr V Vs Mazda Cx 5 Compare Crossover Suvs

Concentration Of Solutions And The Concentration Volume Relationship Prepared By Michigan Department Of Environmental Quality Operator Training And Certification Ppt Download

Mazda Cx 5 Vs Honda Cr V Which Is Better

17 Mazda Cx 5 Vs 17 Honda Cr V Comparison Test Autoguide Com
Learn The Z X C V And B Keys

Honda Cr V Vs Mazda Cx 5 Which Is Better Autotrader

Cx Qn 2k4 Cx Q Series Network Installed Solutions Products Qsc

21 Mazda Cx 30 Vs 21 Honda Hr V Comparison Kelley Blue Book

Honda Cr V Vs Mazda Cx 5 Cars Com

19 Mazda Cx 9 Gt Awd Review Style Substance The Truth About Cars

Ppt Renal Clearance Powerpoint Presentation Free Download Id

30mah 3 85v 100 Brand New Original Phone Battery For Tecno Camon Cx Air Bl 32at Battery Phone Accessory Bundles Sets Aliexpress

Compact Suv Comparison How Does The Sportage Stack Up Against The Rav4 Cr V Cx 5 And Rogue Kia Of Victoria

Suv Supremacy Battle 17 Honda Cr V 1 5 Tc P Vs Mazda Cx 5 2 5 Gls Carsifu

Toyota Rav4 Vs Honda Cr V Vs Mazda Cx 5 Crossover Fight Youtube

Misc 5 Find Derivative Ax B Cx D Chapter 13 Class 11

Mazda Cx 30 Vs Honda Hr V Technical Comparison Youtube

Clickshare Cx 30 Product Support Barco
Honda Hr V Vs Mazda Cx 3 Comparison Car News Auto123

Honda Hr V Vs Subaru Xv Vs Toyota C Hr Vs Mazda Cx 3 Which Is Best For You Wapcar

19 Honda Cr V Vs 19 Mazda Cx 5 Head To Head U S News World Report

1978 Honda Cx 500

Honda Cr V Vs Mazda Cx 5 Compare Crossover Suvs

Red Approved V Mount Battery Adapter For Komodo By Coreswx

Mazda Cx 5 Comparisons Review Specification Price Caradvice

Small Suv Comparison Mazda Cx 3 Vs Honda Hr V Vs Hyundai Kona The Nrma

21 Honda Cr V Vs 21 Mazda Cx 5 Head To Head U S News World Report

Ctrl C Ctrl V Ctrl X Ctrl Z Ctrl A Ctrl K Shift

Mazda Cx 5 Comparisons Review Specification Price Caradvice

Honda Hr V 21 View Specs Prices Photos More Driving

Front Splitter V 1 Mazda Cx 5 Facelift Our Offer Mazda Cx 5 Fl Maxton Design
Nikon Cx Format Wikipedia

Trp Cx 9 Cyclo Cross Brakes Bikeradar

Mazda Cx 5 Gets New Engine Tech And Polymetal Grey Color For Uk Carscoops

21 Honda Cr V Or Mazda Cx 5 Which Compact Suv Is Right For You

Mazda Cx 5 V Honda Cr V Comparison Which Is The Family Choice Youtube

Ipe Material Notes

Small Suvs Compared Mazda Cx 3 Vs Fiat 500x Honda Hr V Jeep Renegade Chevrolet Trax Kia Soul 11 Comparison Test 11 Car And Driver

Why Does The Fact That Tv Is Orthogonal To V For All V Implies T Is The Zero Operator Break Down For Real Inner Product Spaces Mathematics Stack Exchange
Review Faceoff Honda Hr V Ex L Navi Vs Mazda Cx 3 Gt The Globe And Mail

Ipe Material Notes

Box Components Promax Release Eclipse P 1 Mini V Brakes Colorful High End Affordable Linear Pull Options For Cyclocross Cyclocross Magazine Cyclocross And Gravel News Races Bikes Media
How To Fix Ctrl C Ctrl V Not Working Full Fix

Concentration Of Solutions And The Concentration Volume Relationship Prepared By Michigan Department Of Environmental Quality Operator Training And Certification Ppt Download

Mazda Cx 30 G Astina Review Forcegt Com

Used 19 Mazda Cx 5 Suv Review Edmunds

17 Honda Cr V Vs 17 Mazda Cx 5 Head Vs Heart

14 Mazda Cx 5 Edmunds Road Test

Vehicle Comparison For Mazda Cx 30 Honda Hr V Depaula Mazda

Mazda Cx 3 V Kia Stonic V Hyundai Venue Comparison

Honda Cr V Vs Mazda Cx 5 Most Reliable Years Motorbiscuit Todayuknews

V Belts

Introducing The Ti Nspire Cx Ii

Honda Hr V Vs Subaru Xv Vs Toyota C Hr Vs Mazda Cx 3 Which Is Best For You Wapcar

Use The Reduction Of Order Method To Solve The Following Problem Given One Of The Solution Y1 A X 2 1 Y 39 39 2xy 39 2y 0 Y1 X B 2x 1 Y 39 39 4 X 1 Y 39 4y 0 Y1 E 2x C X

Sundown Audio X12 D4 Down4sound Shop

Let Math V Math Be The Set Of All Positive Real Numbers Determine Whether Math V Math Is A Vector Space With The Operations Shown Below Math X Y X Y Quad Math Addition Math C X X C Quad Math Scalar Multiplication

21 Mazda Cx 5 Vs Honda Cr V Youtube

Cx 8 4 Trp Cycling
/cloudfront-us-east-1.images.arcpublishing.com/tgam/347P44BMRZBZPMZGMS3U7RUG2U.jpeg)
Review The Turbocharged Mazda Cx 30 Gt 2 5t Crossover Is In A Class Of Its Own The Globe And Mail

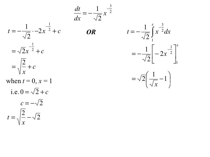
Integration And Differential Equations

Honda Cr V Vs Mazda Cx 5 Compare Crossover Suvs

12 X1 T07 01 V And A In Terms Of X

Vehicle Comparison For Mazda Cx 30 Honda Hr V Depaula Mazda

Suv Supremacy Battle 17 Honda Cr V 1 5 Tc P Vs Mazda Cx 5 2 5 Gls Carsifu

The 21 Honda Cr V Just Outranked The Mazda Cx 5

The New Normal Toyota Rav4 Vs Honda Cr V Vs Subaru Forester Vs Nissan Rogue And Five Other Cuvs

Ra Cvp Waveform Interpretation Rk Md

Mazda S Innovative 4 Cylinder Skyactiv G Engine Pulls Like Big V 6 Wardsauto
Honda Cx Series Wikipedia

Amazon Com Rechargeable Battery For Ti Nspire Ti Nspire Cas Cx Cx Cas Ti 84 Plus C Se

The Cyclo Cross Vs Gravel Bike Conundrum Understanding The Differences Cyclingnews



