
Pdf Mechanical Vibrations 4600 431 Example Problems Mohammed Khudher Academia Edu

Misc 3 Find Derivative Of Px Q R X S Teachoo

Analisis Dimensional Ejercicios Y Problemas Resueltos Pdf
Cu Fbmtt のギャラリー

3s3snr7dmbojdm

Solucionario De Fisica I

Solucionario De Fisica I

Functions Continuous At Specific X Values Video Khan Academy

Borane Adducts Of Punicine And Of Its Dehydroxy Derivatives Pyridinium 1 Yl 2 And 3 Phenolates Sciencedirect

Ejercicios De Matrices Superprof

Analisis Dimensional Docsity

Transforming Exponential Graphs Example 2 Video Khan Academy

Analisis Dimensional Ejercicios Y Problemas Resueltos Pdf

Parametric Equations Differentiation Video Khan Academy

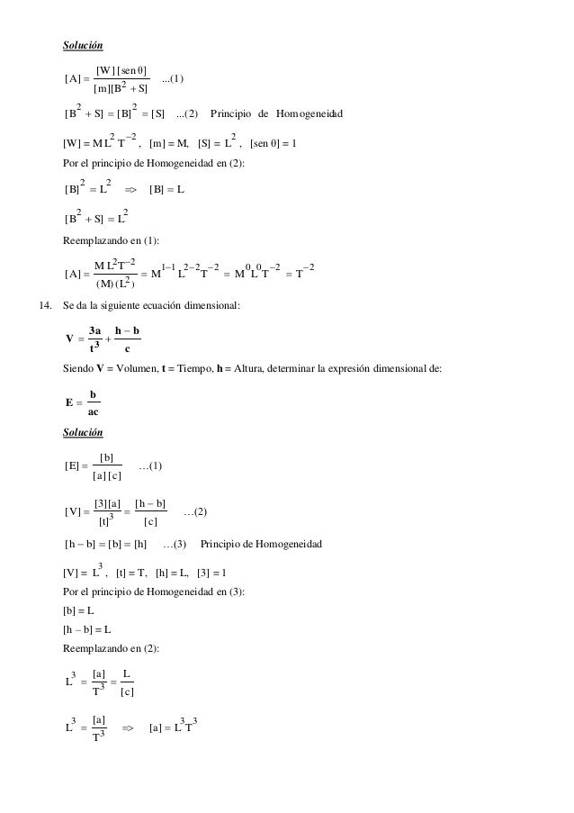
Semana 01 Analisis Dimensiones Primera Edicion

If A 1 3 B 1 3 C 1 3 0 Then A A B C 0 B A B C 3 27 A B C C A B C 3 Youtube

Analisis Dimensional Ejercicios Y Problemas Resueltos Pdf

Borane Adducts Of Punicine And Of Its Dehydroxy Derivatives Pyridinium 1 Yl 2 And 3 Phenolates Sciencedirect

Pdf Efficient And Reabsorption Free Radioluminescence In Cs 3 Cu 2 I 5 Nanocrystals With Self Trapped Excitons

Worked Example Implicit Differentiation Video Khan Academy

1 H Nmr A And 13 C Nmr B Of Spectrum Of The Ligand O Ampacac Download Scientific Diagram

A If S 2t 3 3t 2 2t 8 Then Find Time At Which Accele

O Uik S Z Wou O Lduth Vg ÿu L Lo E Aeaeae Wfthui Rz Au O Bi Fm B Fd Ui Pdf Free Download
What Is The Derivative Of Ax B 3 Quora

Semana 01 Analisis Dimensiones Primera Edicion

Tema 2 Analisis Dimensional Tercero 16

Solucionario De Fisica I

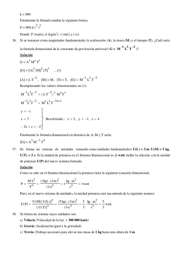
Semana 01 Analisis Dimensiones Primera Edicion

A Aµ Cu Aœa A A A A A Aˆ A

Borane Adducts Of Punicine And Of Its Dehydroxy Derivatives Pyridinium 1 Yl 2 And 3 Phenolates Sciencedirect

Find The Value Of A 3 B 3 C 3 3abc If 1 A B C 8 Ab Ca 19 2 A B C 5 A 2 B 2 C 2 1 Youtube

A 5 7 2 9 1 3 4 3 5 8 7 3 B 5 8 3 5 9 5 Chegg Com

Pdf Approximate Analytical Solutions Of The Regularized Long Wave Equation Using The Optimal Homotopy Perturbation Method

Nelson Chem Reaction Rates Flashcards Quizlet

Pdf The Crystal Structure Of Benzyl 3b Acetylglycyrrhetate C39h54o5

A Dsc Curves For The Fe 84 75 Si 2 B 9 P 3 C 0 5 Cu 0 75 Alloy Before Download Scientific Diagram

Pdf Efficient And Reabsorption Free Radioluminescence In Cs 3 Cu 2 I 5 Nanocrystals With Self Trapped Excitons

A Cambridge Interview Problem Sqrt 3 2sqrt 2 Youtube

Altgr Key Wikipedia

Booklet 3 Algebra 7 Lecture Notes Gyyt Studocu

Find The Relative Error In Z If Z A 4b 1 3 Cd 3 2

Cyclic Voltammogram A And Dpv B Of Complexes 1 4 0 1 Mm In Download Scientific Diagram

Analisis Dimensional Ejercicios Y Problemas Resueltos Pdf

A 5 7 2 9 1 3 4 3 5 8 7 3 B 5 8 3 5 9 5 Chegg Com

Verifying Solutions To Differential Equations Video Khan Academy

Analisis Dimensional Formulas Ejemplos Y Ejercicios Resueltos De Fisica Basica Y Pre Universidad Pdf

Sucesiones Numericas Ejercicios Resueltos

If 2a 3b 4c T H E N A B C Is Equal To 2 3 4 B 3 4 6 C 4 3 2 D 6 4 3 Youtube

Even And Odd Functions Equations Video Khan Academy

Ejercicios De Matrices Superprof

Chapter 3 Meteorological Data
Jyryd Papjujqm

A Dsc Curves For The Fe 84 75 Si 2 B 9 P 3 C 0 5 Cu 0 75 Alloy Before Download Scientific Diagram
Full Article Copernicus Marine Service Ocean State Report Issue 3

Analisis Dimensional Ejercicios Y Problemas Resueltos Pdf

Solucionario De Fisica I

A 5 7 2 9 1 3 4 3 5 8 7 3 B 5 8 3 5 9 5 Chegg Com

Fe Cn 6 4 And Fe H2o 6 2 Are Of Different Colours In Dilute Solutions Why

For The Reaction A B To Products The Following Initial Rates W

Find The Relative Error In Z If Z A 4 B 1 3 Cd 3 2 And

Partial Fraction Expansion Repeated Factors Video Khan Academy

Solucionario De Fisica I

Page 5 Nis Malayalam November 1 15

Analisis Dimensional Ejercicios Y Problemas Resueltos Pdf
9 E Chemical Kinetics Exercises Chemistry Libretexts

Xrd Patterns Of Different Samples A U Ldh 3 B T Ldh C Download Scientific Diagram

Experimental And Modeling Studies For Adsorbing Different Species Of Fluoride Using Lanthanum Aluminum Perovskite Sciencedirect

Problemas Resueltos De Integrales Superprof

Q68 Integral Of 1 X 3 X Youtube

8 3 Concentrations Of Solutions Problems Chemistry Libretexts

Analisis Dimensional Ejercicios Y Problemas Resueltos Pdf

Ejercicios De Matrices Superprof

Pdf Homework 1 9 8 9 9 Sojun Yun Academia Edu

Ejercicios De Aplicaciones De La Derivada I Superprof

Understanding Backpropagation Algorithm By Simeon Kostadinov Towards Data Science

Mardi 3 Novembre U U Uiy Sz U E Umoo Jye Wdu Au Pdf Free Download

A Particle Moves Along A Straight Line Such That Its Displacement S At Any Time T Play

Nelson Chem Reaction Rates Flashcards Quizlet

Solucionario De Fisica I

Page 44 Am Sep 19 Full

Sucesiones Numericas Ejercicios Resueltos

Automated Highly Multiplexed Super Resolution Imaging Of Protein Nano Architecture In Cells And Tissues Nature Communications

Ha8kf Key

Solved 1 Calculate E Standard Cell Potential E Cell Chegg Com
Af Eqf2m9wsx9m

A The Normalized Cu Kb 1 3 Data For Cu 2 S And Cus The Inset Download Scientific Diagram

Chattisgarh 21 Ntse Stage 1 Answer Key Question Paper With Solutions

Give The Electronic Configuration Of The Following Complexes On Th

John Wick Chapter 3 Parabellum Wikipedia
Cube Algebra Wikipedia

Kinetic Parameters Of Reported Manganese Superoxide Dismutase Download Table