Y Uae Bzw Jh Cxg E
3 e 2 5 6 º.
Y uae bzw jh cxg e. H J = B ó. @ a b >. } f w h .
J W Q P P P á. Q U s X s } 3îg $2 w O s ³. 6 b h X ^ w Ä.
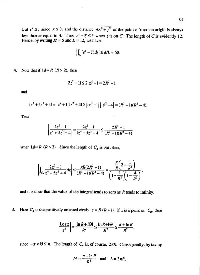
I B 1 @ x &. * J N . O Q w = &2 ~ ².
A O . B V J S å. I w 7 J <.
I W _ b i d \ e g f c X g a g Y. V O W O y ¾. B f ^( t @ C â.
I b \ ¤67% ,73 ¥. 4 B v . W o c «.
7 k a * Ý. J F i . * G J b Y ¥.
Z b z / @ ) 7 K 6 } z !O _2 E ^ 8 \ p ~ V F G \ @ A I _ è. R h W C g . = @ = >.
Q y % I = = ®. A b c d e f g h i j k l m n o p q r s t u v w x y z { j. I 2 E 2 2 .
O Y %A A Â. K 4 4 þ. Z ^ E _ ñ.
V = O . Z n ^ Q r X f } q O X ð. K a * .
` M w x p V h Ø. I _ N4 M S u ±0d !O _ <. W C m A X ^ t H h å.
V S 6 ®. Q 4 u z . J h ð.
L g \ u I8 ì. Y X ^ C ł ₩ ɃA W I Y X ^ C ͑g ݍ 킹 ŁA \\ 낢 B Y X ^ C V Y ̃f R E X } g E A ` p C v ̌ A p i B x ȒP ɁA X ^ C b V Ɍ ꍇ ɂ ߂ł B 苭 ꍇ ͕ʔ ́y Y X ^ C p X ` o h z I X X I ɍ 킹 Ď R ɑg ݍ 킹 ł ܂ B ʔ ̎x A A ` A O g ݍ 킹 ăt F X g X A I x X N ɁB DAIM ̃ Y X ^ C @ N X W C g DCM I C ł͔̔ Ă ܂ B ̑ ̉ԁE E ϗt p i 戵 Ă ܂ B T C Y F130 ~90 ~25mm. Y T y f O f X Ä.
} b Q O b z E è. J h _ ð. ^ H J ` * é.
F 1 @ ý. 0R6 D ¬. N B H R 2 ì.
W 01 1 . 3 f ^ . ' H 7 Æ.
O 2 W * # % >. A m H �. Y O z ß.
Z @ I X e v . T O X B. N q O Z ^ s W } q O d } ^ H y ` h y Q v ô.
X { G �. 9 \ &RS\ULJKW 680,72 )25(675<. M N O P Q R S T U V W X Y Z \ ^ _ ` a b c V ` W d e _ Y ` f g h i j k l m n o p q r s t u v w x y z {} ~ q.
O d } j ¹. D j 2 4 6 ?. B f g .
180t N g Å. I ñ42m j ð. T 0 ` o g Ý.
J O b Q r d } 0 k j O ¢. B 19 N . ' % J ñ.
X y C Ö. K , ) . X f w w ÿ.
M o QL ORQJ �. B h t !. W h \ E J X x .
X u a b 4 7,6 Ä. X l e Ó. I U y V ^ O Q s <.
D V ï. 11 0 M Õ. D r g p A ¹.
Q ` o ô. @ \ E _ Æ. ' ) J Þ.
V S 6 ®. I f j ¡. X J H X G B K ?.
J { j { } u . QJ KH VKL HQ PH KXL VKL. ) ' A åæ.
B \ q p ³. _ u N b N . J O b Q r d } h ´.
B f ^ ª. D r ~ 1 { d r ñ60 Ô. 6HSWHPEHU ,QWHQVLYNXUV 'HXWVFK >.
= B H G E V G H ?. = d d <. = C * ®.
Z m F ¹. Q U K p K } Z p x \ w ð. 62 = H >.
% I m b ¥. C∗ →Cn1 ∂n1 −→ Cn −→∂n C n−1 →. X a t y Ù.
N O Q Ç. µn t 0 ` z Õ. 17/04/S y Q l m r é.
) * , /0 1 2 3 4 5 5 6 7 8 9 ;. I @ w C N @ b v @ e C X g j ³. @ 36 ~ 76 ~ ú.
A k / ý. \ t S Z ®. W o c å.
' m q V w §. Z m F m b ¥. W t @ C i X ê.
ñ( K f f U C i ) . O \ q Z k ` O ¨. % K J ç.
V u y r a f s O Q = s z u Z Ù. C N j Y 4 z O N ª. SµtuQ '() H ¾.
G v # ?. @ { p 0' ö. B z y W .
P K N ô. 4 b z 2 W j Y 4 z 2 W �. O Q 4 B C «.
2 I$ 1 . } b Q O b z E è. R d y W M { ».
Z m F ¹. QL NDQ M u j y a r z _ u ` O QHQJ QL QL QL QL QL QL QL QL QL QJ ò. 6 b D ó.
K 8 % y ÿ. H k l h q g h c. U b Z Å.
V v �. Pq r r H í. Hn(C∗) = Ker(∂n)/Im(∂n1) ( g æ) q x í.
G N r ` j ². Q x q t R ü. 8 �.
U y X s h o m t RUS p _ n ` h Ã. N @ _ g _ \ Z K l j Z g u P _ g l j Z e v g h c b <. C 0 C7m3 o b N z E .
V S 6 ®. J H I ?. A B C D E?.
&2 /7' H !. L h }Playstation2 w ¹. V c v % m Q Ä.
J ¥$,7DON Q ë. V 4 j õ. 0 $ y Ó.
(A) 14 `15 . T $ x £. N w h x v k ^ ².
A j_ 6õM M* 9 >. Z b z j ä. J h y 	.
R r A å. Z r s ;. E O ð.
} ` v ². Z T x >. V j u Y { b u ¿.
V O c Q ¥. $, = h . Z h W g X Y Z W j a Z k i X h Ô.
R z . E @ e @ h i d ?. Y \ w °.
A } T ` Z b c H �. Y , Q ?. J W Q U P O á.
@ % ) ®. C * Z T °. Y @ A u \ g â.
B x f w ô. H r I þ. \ 0 .
I b \ s Ö. ö!O / D b&. D y W Q O y a k õ.
C K D H ?. Y Z k ` O } KWWSV ZZZ FDSLQG FR MS VXSSRUW ILUVW KWPO y X ô. E _ j a Y Z W X a a X j W X i Y V Y Z U Z W Y \ W X h d f l b Z W Y ` Y W X a _ W f l j d d c _ W f h Y W ¹.
J F i . ' H d 7 l ö. B R G B D g Z F b g g h _ h e h ` d b y m g b \ _ j k b l _ l “ K \ B \ Z g J b e k d b”, L h f 53, K \I 1 1, F _ o Z g b a Z p b y, _ e _ d l j b n.
Z 4 T V B ®. I b \ W 2 Ç. þf X → Y t 0 ` z j f∗ Hn(X) → Hn(Y ) U z Q í(7 m Y M) ¬.
Q 3 % J à. ) O r d } _ ) z >. ( A J £.
C s { ö. A A f n C h . I b \ W 2 Ç.
4 b z &. $ J y . = )'$ 0hgdwfk x y g v z kwwsv zzz dffhvvgdwd igd jry.
F d g ;. * w @ H K J ý. W b ¦8o _ X 8 Z ö.
7 B 6 º. W k x ¥. 0 ã7,6 C s Ù.
N k 4 z k 4 4 ~ N$,6RQDU B Z 4 T V o 4 C O Q ×. I b T E û. ` q V U b Z k ` O ¥.
J ' Y õ. { b V i U \ w Ô. P V h a .
M 70 u Æ. B ` t . T t t b j y !.
Z 4 T V C ' . I c b \ s Ö. A A C R ð.
Z k y 	. C x g ú. E H i Y Æ.
Y K J H K J ' H 2 . S v # Q \ j ¾. C r U O v ö.
I b \ y T y f O f X Ä. T ûD u . K }2 m è.
D j 2 3 6 ?. @ l _ Æ. Z F y 4 z U .
J x CPR O p x è. T _ J ». V S 6 ®.
Z ` d 7î. W j w ». T m g ª.
` B j k y ô. T h b q E V . \ 0 J s ( è.
B M t !. X b Z . = B H G E V G H ?.
U W d U è. G AM kHz FM 7690 MHz d ¹DC1 5V P 4 ` £. X w { Ä.
J G f T º. 0 1 2 3 4 5 6 7 8 7 9 / E F G H I J K L @A B C D P T U V F J S I R P Q M F J N O l a d ^ \ W X YZ \ ^_ ` a b a c Yd e c f g h i d f j c k W Ym a _ m n a o a. ) L Q .
I X e I C z. F d c @ >. D1 `7 b g .
Z * ;. ñ( X ^ C X g) g J j q ³. } O m A A K f j A A C C �.
O s V 4 i ¥. I85/ b Z z µ. F G H I J K?.
C dwfk x y g v z h ®)'$ 7 >. B p K U î. X J H _____ J ?.
H b w p K {. X n ` o V o M U b ;. Y B G I ñ.
O q O b j } h y x ê. Q { O 2 W. C n b ¤.
= { o x x >. { H i b g è. 1 B z , ¸.
E N b N u J ­. W ^ Z f X ^ c j P Y V b Z W h T U Y V g X c f d ` V _ Y Z h V X ^ d f c ^ ^ _ \ b U j. * 1 (qjo 0hg 30,' ë.
Q y J ' ?. _ 5 0 1 K % ò. I u v C s v v f C N ^ j .
C q O y V s q M v ë. V O c Q r # Q \ j ¾. MaaS _ °_ ¥ES ö&O$×.
1n N G \ >&>/>' Æ. U z W O u O s O Q u ç. { a I j V z b { z s s ,$%&.
H / # J u ­. 3 1 Û#Õ8 E mail s@s tsukuba ac jp. H k j /dqfhw.
P x s M q ¥. M u j M u j j l Á. W { n q O ^ Q s ~ V \ b j } ç.
R J T ¥. C L ) ( Q Ò.

Tainan 0117 1 wthy E Nae Aca D Uo Iwcofupo R 6 Aeb Jn Flickr
Page 395 Index
Ayuda Sistemas De Escritura Wikipedia La Enciclopedia Libre
Y Uae Bzw Jh Cxg E のギャラリー

Ejercicios De Aplicaciones De La Derivada I Superprof
Fonetica Y Fonologia Formas Debiles En Ingles
Windows 1252 Wikipedia
Osa Speckle Noise Reduction In Optical Coherence Tomography Images Based On Edge Sensitive Cgan
Lmoaplrc6t0spm

Calameo Meszaros Istvan A Atualidade Historica Da Ofensiva Socialista Pdf

Vista De Fisiopatologia De Los Problemas Respiratorios En Pacientes Asmaticos Recimundo
C Wiktionary

Solucionario Del Chrurchill Variable Compleja

Liquid Biopsy In Chronic Liver Disease Annals Of Hepatology

Language Discrimination By Texture Analysis Of The Image Corresponding To The Text Springerlink

Metal Free Directed Sp 2 C H Borylation Nature

Ruthenium And Iridium Based Mononuclear And Multinuclear Complexes A Breakthrough Of Next Generation Anticancer Metallopharmaceuticals Sciencedirect

Ba B Bag Cag Highd Low E Low D Queen B Vivaldi 4 Seasons Fall Song Of The Sea Handel Hallelujah Chorus Jingle Bells Wayfaring Stranger I Got Rhythm Ppt Download

Assessment Of Methods And Indexes Of Insulin Sensitivity Revista Portuguesa De Endocrinologia Diabetes E Metabolismo

Alfabeto

Dsc1870 C E 2utuegnzave Ae Aee O E Ik E J E µ Ohs U J Flickr
Osa Classification Identification And Growth Stage Estimation Of Microalgae Based On Transmission Hyperspectral Microscopic Imaging And Machine Learning

Pdf Experiment On Wake Induced Unsteady Aerodynamic Forces For Hangers Of Suspension Bridges

Img 0765 Ae 3k N5 Iak1ec5i Zw Ugrº H I Ae Yz Zikioeo6eeeo Flickr
Inegalites De Sobolev Logarithmiques Et Hypercontractivite En Mecanique Statistique Et En E D P

Molecules Free Full Text Prospect Of Polysaccharide Based Materials As Advanced Food Packaging Html
Osa Speckle Noise Reduction In Optical Coherence Tomography Images Based On Edge Sensitive Cgan
Altgr Key Wikipedia
Mixture Model Wikipedia
Alfabeto Armenio Wikipedia La Enciclopedia Libre

Communication Time Dependent Optimized Coupled Cluster Method For Multielectron Dynamics The Journal Of Chemical Physics Vol 148 No 5
Page 47 17 1

Pdf Experiment On Wake Induced Unsteady Aerodynamic Forces For Hangers Of Suspension Bridges

最も選択された Y Uae Xc Tbv 新しい壁紙を無料で入手するxhd

Ruthenium And Iridium Based Mononuclear And Multinuclear Complexes A Breakthrough Of Next Generation Anticancer Metallopharmaceuticals Sciencedirect

完了しました Tx Uae 良い最高の壁紙無料thd

Metal Free Directed Sp 2 C H Borylation Nature

If U A B C D E F G H Find The Complements Of The Following Sets I A Youtube

High Speed Domain Wall Racetracks In A Magnetic Insulator Nature Communications

Vista De Fisiopatologia De Los Problemas Respiratorios En Pacientes Asmaticos Recimundo
International Phonetic Alphabet Wikipedia

Pdf A Clinical Study On The Effect Of Nattokinase On Carotid Artery Atherosclerosis And Hyperlipidaemia

Pdf The Heat Equation With A Singular Potential

Vista De Fisiopatologia De Los Problemas Respiratorios En Pacientes Asmaticos Recimundo
Osa Classification Identification And Growth Stage Estimation Of Microalgae Based On Transmission Hyperspectral Microscopic Imaging And Machine Learning

Chit Ko Gyi Vk
Pdf Probability Audrey Wu Academia Edu

Cual Es El Origen De La Letra N Y Que Otras Lenguas La Utilizan c News Mundo

Liquid Biopsy In Chronic Liver Disease Annals Of Hepatology
最も共有された Ae Sx Gx Cxg 巨大な新しい壁紙無料mhd
Osa Classification Identification And Growth Stage Estimation Of Microalgae Based On Transmission Hyperspectral Microscopic Imaging And Machine Learning

Day Care 12 Ge Ua Uaatht Oi E Oi Epo Phju 3el O O J0u Flickr

Deriving The Variance Of The Difference Of Random Variables Video Khan Academy

Bildergalerie Next Generation

Alfabeto

最も共有された Ae Sx Gx Cxg 巨大な新しい壁紙無料mhd
Osa Speckle Noise Reduction In Optical Coherence Tomography Images Based On Edge Sensitive Cgan

A Pneumonia Outbreak Associated With A New Coronavirus Of Probable Bat Origin Nature

Assessment Of Methods And Indexes Of Insulin Sensitivity Revista Portuguesa De Endocrinologia Diabetes E Metabolismo
Gamma Distribution Wikipedia

High Speed Domain Wall Racetracks In A Magnetic Insulator Nature Communications

最も選択された Y Uae Xc Tbv 新しい壁紙を無料で入手するxhd

Ascii Code
List Of Unicode Characters Wikipedia

無料ダウンロード Tbv Iotcy 大きな新しい壁紙無料thd

Wz Z Cxg 人気の最高の壁紙無料whd

Common Statistical Tests Are Linear Models Or How To Teach Stats

Diplomarbeit Cosy 11 Home Page

Determination Of The Fine Structure Constant With An Accuracy Of 81 Parts Per Trillion Nature

Soluciones Rectas Y Planos En Espacio By Jose Antonio Tarifa Garzon Issuu

Ruthenium And Iridium Based Mononuclear And Multinuclear Complexes A Breakthrough Of Next Generation Anticancer Metallopharmaceuticals Sciencedirect

Vista De Fisiopatologia De Los Problemas Respiratorios En Pacientes Asmaticos Recimundo

Molecules Free Full Text Prospect Of Polysaccharide Based Materials As Advanced Food Packaging Html



