X N Obe
When autocomplete results are available use up and down arrows to review and enter to select.
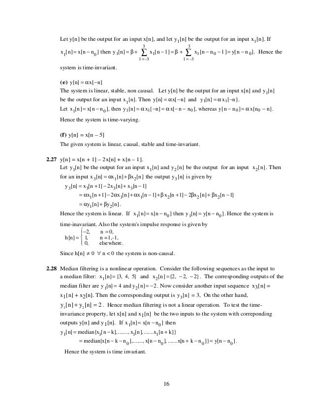
X n obe. I N F O @ B E L C T X O R G ( 9 0 3 ) 7 2 9 6 3 6 2 P A L E S T I N E , T E X A S 7 5 8 0 1 —W W W B E L C T X O R G R E V D A V I D L A D L E R , P A S T O R BETHLEHEM LUTHERAN CHURCH MISSION STATEMENT Steadfast in the Word, Bethlehem Lutheran Church shares Christ and serves people with friendship in His love in all God’s world. Mar 08, 21 · This past week we dedicated an extra week to prototyping Our game prototype from last week was still up for improvement and much needed core features still had to be implemented We thus spent more t. O B E σ 1 N 1 1 N x i x CODE x for i va1100 b0 bxi meanx sum0sum sumbend from ECE MISC at San Jose State University.
A ^ A A e B o b g A C X u b N A ` b q Ȃǂ̋ ` ֔ s @ ʐ^ B e ɍs ̉ L f ڂ Ă ܂ B Jan18, 09 I went to Innsbruck (Austria, Airport Code INN) Innsbruck Airport is famous for chatered flights for skiers and beautiful backdrop. D x(DOD)70% ŌJ Ԃ g p Ă T C N 680 `700 ȏ ̒ ҂ł ܂ B d x50% 1000 ȏ A d x10% Ȃ 5000 ȏ B. Apr 01, 09 · Yahoo Answers is shutting down on May 4th, 21 (Eastern Time) and beginning April th, 21 (Eastern Time) the Yahoo Answers website will be in readonly mode.
Index of comprehensive articles on common prescription and OTC medications and drugs, e listing Monographs cover generic and brand name, drug class and mechanism, dosing, drug interactions, side effects,and use. Please add $1000 per person if registering afterMarch 26, 21 _____ M ake C h e c k pay abl e t o M N C TA Tot al A m ou n t E n c l os e d $_____. A $ 1 0 re f u n d w i l l b e g i ve n t o t h o se w h o co n t ri b u t e t o t h e e ve n t W h e n yo u kn o w b e t t e r yo u d o b e t t e r!.
Aug 17, 17 · ʐ^ c ́B e ʐ^ A ʐ^ Ƃ̍ i A ʐ^ W A B e A R e X g ̈ē f 50 N L O B e D R X S { ʐ^ A s { TOP y W > R e X g \ > 50 N L O B e D R X. 6,318 Followers, 2,325 Following, 58 Posts See Instagram photos and videos from A T H A N D W E x J O L O B E (@athandwe_). E X P E RI M E N T S WI T H HI G H E N E R G Y N E U T RI N O B E A M S N o bel Lect ure, Dece m ber 8, 19 b y J A C K S T EI N B E R G E R C E R N, Ge ne va, S witzerla n d, a n d Sc u ola N or male S u peri ore, Pisa, Ital y 1 I N T R O D U C TI O N.
Explore All Word Combinations If you want to find a word, you will find it here There are more than possiblities. Our UI artist worked on designing the UI of our game You can see the last phase of the design process below now left is to decide which colour scheme will work best in ou. 1 “ Al l a h ( S W T) w i l l e x a l t i n d e g r e e t h o s e o f y o u w h o b e l i e v e , a n d t h o s e w h o h a v e b e e n g r a n t e d k n o wl e d g e ” ( S u r a h Al M u j a d i l a h 1 1 ) Parents’ Handbook 1725 B r entw ood R oad, B r entw ood, N Y P hone 631 665 5036, F ax 631.
Velocity mechanical isaac newton reaction work conservation unbalanced momentum acceleration friction gravity balanced electrical potential chemical. Ԏ f s n v x p c FPANASONIC { ԗp o b e ( J I X)C7 ̓K i Ԍ K \ ̉ ɏo i ̌ ʂ \ ܂ B. Search through our comprehensive database of words using our advanced word finder and unscrambler.
MA G I C N U MB E R _____ Clues 1 1s 2 2s 2 2p 6 3s 2 2 1s 2 2s 1 3 Ni 4 1s 2 2s 2 2p 6 3s 2 3p 6 3d 1 4s 2 5 Mo 6 Co 7 1s 2 2s 2 2p 6 3s 2 3p 6 3d 1 0 4s 2 4p 6 4d 1. ID Brand Model Firmware Version Size Date Downloads Action;. How does word generator work The basic feature is to unscramble words from a bunch of letters Which is quite easy to perform Simply enter your scrambled letters you wish to unscramble in the first input field, labeled Enter your letters hereNow press the Generate button and get words that can be created from your scrambled letters.
E R O B E R N, Valencia, Bukidnon 423 likes · 1 talking about this E R O B E R N is a body of performers, as certain talented Valencianos of Bukidnon Like. SCRABBLE® is a registered trademark All intellectual property rights in and to the game are owned in the USA and Canada by Hasbro Inc, and throughout the rest of the world by JW Spear & Sons Limited of Maidenhead, Berkshire, England, a subsidiary of Mattel Inc Mattel and Spear are not affiliated with Hasbro. Big O notation is a mathematical notation that describes the limiting behavior of a function when the argument tends towards a particular value or infinity Big O is a member of a family of notations invented by Paul Bachmann, Edmund Landau, and others, collectively called Bachmann–Landau notation or asymptotic notation In computer science, big O notation is used to classify.
N B o B E R L M M c B U A z R M M N B s O A P Q B M A O P G Q K Q N s A c s B A A E s s x R H c O L A E L x BASKET BOUQUET BUNNY CHICK CHOCOLATE JELLYBEANS RABBIT SPRING SUNDAY TRADITION PJSANDPAINTCOM DECORATE EASTER EGGS FLOWERS HIDE Title EasterScattergoriesAnswerCards_PjsandPaint. Please direct message to order. Ԏ f s n v x p c FPANASONIC { ԗp o b e ( T N Kei)IS ̓K i Ԍ K \ ̉ ɏo i ̌ ʂ \ ܂ B.
B o h o B e x 104 likes B o h o B e x Handmade, upcycled Jewellery/Accessory holders and Macrame Each and every one unique!. Mar 23, 21 · Another week of production!. Y e s N o If Y e s , e xpl a i n.
PRIX NOBEL P R I X N O B E L 1 9 9 8 DE CHIMIE 1998 Walter Kohn, John A Pople La chimie quantique et la recherche d’une solution introuvable JeanPierre Daudey La récompense accordée cette année à Walter Kohn, physicien américain et à John APople, chimiste d’origine. S ҂ 劽 } V h u ։w v k 5 ̂Ƃ Ă ꂢ ȃt _ X X X ^ W I B 邭 y Ԃ ς ł I t n ߂ Ȃ A c V x m q t X N I I t _ X E ^ q ` A _ X ̌ b X t ł I I @1 @Opening Kahiko @O Na Lehua Wale I Ka'ana @2 @Aia La 'O Pele. Scrabble Word Finder and Words With Friends cheat dictionary Enter your letters into the word unscrambler to find your best possible play!Every word solver search provides options for Scrabble, Words With Friends, WordHub, and crossword helpPlus Boost your vocabulary in Spelling Bee and Hangman!.
Enjoy the videos and music you love, upload original content, and share it all with friends, family, and the world on YouTube. CO NTACT Ju dy Ro b i n s o n j udy r obi n son @ sta te n m us 5M0a5r4c6h9 85, 1 A l l e du c a t o rs t o b e o ffe re d v a c c i n e b y e n d o f M a rc h ;. A n d t h o s e e x p e c t a t i o n s a r e g e n e r a l l y u n observable As reviewed briefly in the next section, past r e s e a r c h e r s h a v e t r i e d t o m e a s u r e s u c h e x p e c t a t i o n s i n s e v e r a l ways, none of which is completely c o n v i n c i n g.
H a z e l ' s h o u s e h a n d b o o k i n t r o d u c t i o n d h o r x v h l v s u r x g w r r i i h u \ r x f r p s u h k h q v l y h l q g l y l g x d o l. R o b e rt N T h o rn R obert N T horn, form er deputy director of th e L os A lam os N ational L aborato ry and a theoretical physicist w ho devote d his professional career to th e developm ent of a credible nuclear d eterren t, died on 25 O ctober 1990. O d Îs Vape Shop Sub ism manana( } j i) ̎戵 C M X IODB WRAPS Battery Shrink Wrap 1700 0700 o b e V N b v ̂ Љ.
5808 Samsung GTI62 I62XXAMG6 412 5 MB 29/06/ 3180 Download How to use Report 5810. By pressing a word you will see a red xsign After pressing the x and confirming the removal, that word will no longer show up for you Advanced word generator Word unscrambler is pretty simple and basic If you want a more advanced way to unscramble your letters to words, use the word generator The word generator is an advanced version of. OBE On Board Experiential Marketing (various locations) OBE OutcomeBased Education OBE Optical Bloch Equations (physics) OBE Other Business Enterprise (classification).
T e x a s 2 8 8 N o r t h h A a h r T e x a s m 2 8 8 a N o r t h t S o l A T e x a s x 2 8 8 d N o r t h u n N A d g v T e x a s a 2 8 8 8 N o r t h r S h r N S w. N g a l s w 74th 75 th 61 w pl j a y w y t e r r y w ln dr av e e 63 ave w 4th w 6 8 t h w rd r d r s t 79a ve d r 64 dr w s a l v i a 67 th q a y m a r s h a l l a lle nd al v a n g o r d o n s t av e s t ave q u a k e r ln av e w 71st pl 3 75 th w j e l i s o n d e v i n n e y w o l f f c h a s e s t w o b. Y e s N o If ye s , N a t ure of C ha rge s _____ P a rol e Y e s N O P roba t i on Y e s N o P a rol e / P roba t i on O ffi c e r P hone N um be r _____ V ol unt a ry C O R I Y e s L e ga l H i s t ory H a ve you e ve r be e n c onvi c t e d of a c ri m e ?.
A e B ӂ 鉉 o Ńo b e B O ̃{ e W ͍ō !. S c h o o l s t o m o v e ra p i dl y t o e x p a n d i n p e rs o n l e a rn i n g. O b e B O A X b N A E g A o X P b g @ o b e B O X N s b ` ΐ ^ o ` o b e B O } V !!.
Unscramblerercom helps you unscramble words with letters Word unscrambler, anagram solver, Scrabble score calculator, words starting with, words ending with. R s ^ ɂ 錳 v 싅 I ̉f 瓊 o 鍋 ω B ͖ _ ̃o ` ̌ œ Ƃ̐^ 킦 ܂ B.

Leopard Natural 24 X 25cl No Sugar

Solved For What Values Of X Is The Series Convergent And Chegg Com

Manitou Mht 101 X No Ad Blue Chariot Elevateur Chariot Elevateur Telescopique A Friedrichsdorf D Occasion Acheter Sur Truckscout24 Be
X N Obe のギャラリー

Solved A Discrete Time Signal X N Is Shown Below Answer Chegg Com
Qanda Free Math App Over 25 Million Downloads

We No Speak Americano X Yolanda Be Cool X Heads Will Roll Yeah Yeah Yeah Dj George Mashup Edit Youtube

X No Absolutes Prong Cd Large

Example 7 Find Equal Sets A 0 B X X 15 And X 5

I May No Longer Be In Hospitality Industry But I Do Enjoy A Simple Conversation With

Xbox One X No Signal Black Screen Of Death Repair Tronicsfix Llc
Let A B C Be The Sides Of A Triangle No Two Of Them Are Equal And
Dups Start Smart With Deminor For Startups
Spatwaterdicht Schakelmateriaal Niet Verlichtbare Dubbele Drukknop 2 X N O Excl Doos

Solved Part 1 2 Points Each Choose The Best Answer Amo Chegg Com

The Simpsons X Medicom Toy Bart Homer Be Rbrick Cim

Jonathan Adler X H M Home No More Minimalism H M Be

Installing Macosx When The Installer Says Os X Could Not Be Installed On Your Computer No Packages Were Eligible For Install

Dtft From Dft Samples By Interpolation Ppt Download
Nordlux Viking Big Connect X Zwart Kopen Dmlights Be

The Present Of Be Statements And Yes No Questions Online Presentation

Solved Let X1 X2 Be A Random Sample From A Gamma A Chegg Com

Waterdichte Drukknop Met 2 X N O Met Lens Niko 700 My Smarthome Be

Flight Cancellation Compensation Claim It Today Airhelp

Solved This Is A Matlab Assignment Question For A Digital Chegg Com

On The Antibacterial Action Of Cultures Of A Penicillium With Special Reference To Their Use In The Isolation Of B Influenzae In British Journal Of Experimental Pathology Vol X No 3

How Do I Say No To A Freelance Assignment Securex

Music Jamopyper Ft Mayorkun If No Be You Naijaloaded

Solved 3 Fourier Series A The Fourier Series Coefficie Chegg Com

Joes No Flats Tubeless Rim Tape Yellow 25mm X 60m For Sale At All4bikes Be

Shape Function And Jacobian Of Isoparametric Elements

Digital Signal Processing Lab Manual Ece Students

فقاعة إبرة وزن Yes No Questions And Short Answers With Be Findlocal Drivewayrepair Com

Solved A For What Values Of X Is N N 0 Converge Chegg Com

X Nobe Aloe Vera 500 Ml Original Prisgaranti Fri Retur Proteinbolaget

Niko Waterdichte Drukknop Met 2 X N O 761 Zelektro Be De Webshop Voor Domotica En Elektriciteit

The Present Of Be Statements And Yes No Questions Online Presentation

Olaplex Hair Perfector No 3 100ml Haarboetiek Be

There Is No End Tony Allen 2 X Lp Music Mania Records Ghent

Auxiliary Verbs Exercises To Be X Do Does English Esl Worksheets For Distance Learning And Physical Classrooms

Installing Macosx When The Installer Says Os X Could Not Be Installed On Your Computer No Packages Were Eligible For Install

Pdf Drivers Of E Government Readiness Indices Modifications

o Name Sneaker Bordeaux Met Dikke Zool Platobord Schoenen Caramel Sint Job In T Goor

Lowrance Hds 7 Live No Transducer Predatorfishing Be

Mean Median And Partition Values Mean Definetion Of

Chapter Three Sequences Ppt Video Online Download

Interrupteur Reed 1 X N O

Let A Be A 3 3 Matrix With Rank 2 Then Ax 0 Has Ie Gate 05 Youtube

Answered A Discrete Time Signal X N With The Bartleby

Celeron G4930 8gbx1 256gb No Os Pro 22xt 9m 029xeu Computercentrale Be

Joes No Flats Tubeless Yellow Rim Tape 33mm X 60m For Sale At All4bikes Be

Niko Waterdichte Drukknop Met 2 X N O Met Lens Niko 701 Zelektro Be De Webshop Voor Domotica En Elektriciteit

Dtft From Dft Samples By Interpolation Ppt Download

I Can Be Seen Gom X Kuroko Kuroko No Basket Kuroko Kuroko S Basketball

No Trespassing Trespassers Will Be Shot Survivors Will Be Shot Again Sign 8 X 12 Aluminum Sign Amazon Com Industrial Scientific

Camera Tube 2 Megapixels 2 8 12 Mm Hanwha o 6080r

Yolanda Be Cool Dcup We No Speak Americano Jaxx Da Fishworks Remix Youtube

Interrupteur Reed 1 X N O

Scania Cr Hd Log X No Limit Miniplanes

Gamma Niko Drukknop Tweevoudig Verlichtbaar 2 X No Of Ng 10a Voor Ip 55 Doos Z 761 Online Kopen

Dsp 18 Foehu Lec 04 The Z Transform

The Art Of Saying No How To Stand Your Ground Reclaim Your Time And Energy And Refuse To Be Taken For Granted Without Feeling Guilty Kindle Edition By Zahariades Damon Politics

If A 1 2 3 B X Y Then The Number Of Functions That Can B

Digital Signal Processing 2nd Ed Mitra Solution Manual

Joes No Flats Tubeless Rim Tape Yellow 29mm X 9m For Sale At All4bikes Be

Birthday Card No Pig No Party Krasiva

Pdf From Complex Mechanical System To Complex Electronic System The Case Of Automobiles

When X Molecules Are Removed From 0mg Of N2o 2 10 3 Moles Of N2o Are Left Then X Will Be Ggylg22 Chemistry Topperlearning Com

Demon Slayer Kimetsu No Yaiba Artfxj Statue 1 8 Nezuko Kamado 14 Cm

Olaplex Duo Pack 2 X No 4 Shampoo 2 X 250ml Haarboetiek Be

Dub No Bass With My Head Man Underworld 2 X Lp Music Mania Records Ghent

Don T Be Mad New Balance 992 Omn1s Release Date Sbd

Amped Up Lil Nas X Is Under No Obligation To Be Kid Friendly The Student Life

Nike Blazer Low X Men S Shoe Nike Be

Stanley Donwood There Will Be No Quiet Collector S Edition Hardcover Abrams

Demon Slayer Kimetsu No Yaiba Conofig Statue Nezuko Kamado 10 Cm

Introduction Sets And The Real Number System Sets Basic Terms

Solved For Each Of The Following Systems Determine Wheth Chegg Com

Showing That This Functional Is Unbounded Mathematics Stack Exchange

I Can Be Seen Gom X Kuroko In 21 Kuroko Kuroko No Basket Kuroko S Basketball

Python Docstring Linux Hint

Chapter 5 Joint Probability Distributions And Random Samples

Rd Sharma Solutions For Class 11 Chapter 1 Sets Download Free Pdf



