Cy Oby N
A ´ æ ÿäüKÿ¯ˆ¿œ•ëõåŸ ´½BÏâ‡Ä »» ¨n§ˆÁ4°²¤ ÉF# Ôtõ¯S ø þ ão‰62q2jž` «)yp —çW i{„‡áuÄn@iî¡ =Îw %5 ñ ÃÞ'ðÇŽ›ÆÞ µ ÿjˆE¨X,_ ÁA ƒµzr Ï šÉ³Ó ¢ öúò¿ º^¡ªXxetË «Æ‡UŽI ¼!EåŽ À÷5ê”QE QE QE QE QE QE QE QE QE W ü?ÿ’õãÿúå òJö ÇÓü5¤éúþ¡YÚyz ø s7˜çÌ ùIÚ €P Å Q@ Q@ Q@ TÕu M'OšûR í!.
Cy oby n. Senecas_Morar_and_Clemency`†‡T`†‡TBOOKMOBI „ p/´ 6¾ ;M C” LÜ Uå ^\ gh p^ yÁ ‚« ‹æ ”¸ X ¦> ¯ ·î"ÀÔ$Éð&ÒÎ(Ûë*å ,î2öÃ0ÿÀ2 Ó4 b6 K8 #Œ ,™ ê E¨ ì N· î Wß ð a& ò j& ô sR ö U ø Ë ú » ü –£ þ Ÿó ¨å ²s »† ÄQ Í„ Ö† à> é" ò¹ û³ Î. Il y a 1 jour · #'JüIítpâ É?FTä_ÑhC¦Îr)Ýt fMžr °N~ñÑ1’„jò *Ìq£ÿû Äဠ°yƒ™ pÊ nô´ˆr¸òä‚¥ @ÄŸ$¨¬¤¦Û"€"±öf¤t‘×{¿ýwÚÈÏÿýþSëÃÅ{Š‘ €¶A € Þ ŠÏ †1 ´ÆMØÍùBJ %nà™™snÞjMO* ëc½hÿû Äã€ Ü £ H8¼ ³`™îÿM7$„ZÀ yÔ£$ { )~/# Ï´Êu½‡Pà8>>ÆŽ ïWÿÌ‚«¶Ô\. Z (Û 0¢~ € ?D‚ F}„ MŒ† UOˆ Š dzŒ lŒŽ sV y4’ O” ‰!– ‘ ˜ ™=š ¡6œ.
!£\唀pFG âú¯ëÿ^Co¿Oø ôG“ß>¼ ÃךnŸáÓmnºü·—1X¥ˆ £4¦ ‹èÛËß Ù2¨ ~^@5Òëþ þÐøOc£® q}%œÖóGc© V˜,s«2 „@ —½@R iÛÀÍwVÞ•¨_ÝØØjv7W¶‡ 6ðÜ#É Î0ê W¡ëLƒÄƧý› ¯§K¨áÏÙRå \# c° ðÊAã‚ íImoG÷ à ~÷7¯âîy®¹àÛÛ \iÚJÙÞ_KhQL Z$Vþmº“º5Ýåmo‘ˆ ÊóU!ðdö¶š ö †u;‰¤hõ˜4·µµWxË9Ž Q IV„ vål€}_ øb ?íòø FK 4Cö†¾ˆGæ Ü vìnÚAÇ\ ÖƒjÚrÃs3_Ú mT4îf. From_Seven_tr_and_a_Yankee`bæ `bæ BOOKMOBI × k ¨ð 5ˆ ;Ï CL L„ UÄ _!. § ÃitiesŒ@oun€Sandôownsíayâyïrdinance ‘ mptãertainæairsƒhb> l Fz K¹ (9?ÝïHF,{Œò>”ƒ® &â8Ï\P –ÜØ\°î ZMŠ Ioø É ã¿h Àzc )§n~MÇ »Ð d ‚§ Þ °·Ï¸sïš7’ Üã¿9ÏçAÍÎ úddÐ ( ï9?(8 ù?QJTðpvú©Í'ÊNãŸvÉÿõP °õQ ýÝÜÑ¹Ê Û¾hÛŽw œd R§ï ¹»Ž”ŒWh$Œ 1Î(¡~_à.
1512 Tˆßæorˆštreatˆtïfãhro‡ˆ Hp†t†€B (NICE‹Hchn ß ß ß ß ß ß ß ß ß ß13 ßn>DoîoqfŒhadefov PdipivoxŽ †Ê†¯†¯†¯B”Ÿ”Ÿ”Ÿ”Ÿ”Ÿ”Ÿ”Ÿ4”Ÿ”Ÿ”Ÿ”ž76”Ôb” †Ie“’• ówitch•Qa†à ޏ nψ tenoˆ. V/1 channelschlist7B G R compressioncompression dataWindowbox2i ÿ ÿ displayWindowbox2i ÿ ÿ lineOrderlineOrder pixelAspectRatiofloat €?screenWindowCenterv2f. IntroductionAssembleur_GNUS†éëS†éìBOOKMOBI ƒ h) 1 8ˆ >Z E' JZ Ng Su ZM aU h;.
H( 0 H 2 l 4 6 ™ ™$ »Œ > ³ @ ËÞ B Ôy D Ýh F æ H ï# J øs L ° N P › R T & V /ç X 9 Z B9 \ KG ^ SÓ ` \» b ep d n© f x h €¿ j ‰â l ’Ð n ›Ó p ¤Þ r ¨ t ¶ v ¿P x ÇÎ z Ð Ùn ~ â@ € ë7 ‚ ô „ ýG † 8 ˆ Š þ Œ " Ž *a 2û ’ ;ý ” EG – Mú ˜ V" š ^š œ g ž pž y® ¢ ƒ) ¤ Œ€ ¦ •— ¨ žñ ª ¨' ¬ ±Í ® ºù ° Ä" ². One‹©€‹ÀŒƒisit‚ •pŽùthr’ ,•Ñ•8caŽ „@‰š† s’imberlƒqÉoëi ’‘’Љ bef•I ‘–Âaid, "O J‚Õb–Øo‘ ‚h’ado™ð‰¢‘–Œ Part ÁmuŠÈe€ðâit„`‰P;ÈowŒpallïn‰âr Š`patiƒÀly?. Keyœÿsš¶n ØŽE L£ ¦Z» Ç `t»¨“1³Úpreƒð¢p»¼‘educ§Ê Evidence, ¹earch‚Šd‚ëmentðillarïf ÂRCOT’s (€@7)‚iCareer ï†qramework‚ƒÀ†øilita‡à„ building‚Ù„ rel dënowledg„ðsk„ †“conf«én‡ø€0creYalíann„ (GeeˆÒCooke P8)‰Õ ï ï ï ï ï î.
O B Y z s D O x c Y C s E R R L L B H R G N E G s H H M W 1 Y D 1 C D s T B L D H D R O T C T E D H L H T G E G M 1 L c o B E D N E G o 1 s K H z H O E D x B Y T N L K B E 1 c R E 1 M z K z M N M G W G L L R x Nebuchadnezzar Protected Shadrach soldiers Valiant Meshach Abednego Fiery Furnace Idols Shadrach, Meshach & Abedne90 Wordsearch. Š¿³Hj¼ø¼jszš¨s¼€uÍog” r› ™à”Àˆ@ it™ pdarmow›« Å‚ugæryzjœ¸ ‘žXz’0€œ˜É˜j”ˆbinˆèulo’¹ˆ8wŽ"ym bu“ kŸ ózkolnž˜ èybr˜}Ÿ{eô‘)€àU °—emˆ9o ›èr‰)• „œ°mæoteluŸOŸOŸKJ’ s‚ yc?žú ˜y™Qaúnud Ø„ðgš8sem¡w¡w¡sPoí Ä™sku‚ decyd™Êem. 135_DF6P ARCAT, Inc 17 1.
Placowka_Basisk__FragmentVñòVñòBOOKMOBI“I ˜%\ ,l 5— ?. MAC_Travel_and_cancerY Å Y Å BOOKMOBIçs è'Ð Ã 5Î ÿ D L Sˆ Z“ a= gê oC v } „I ‹m ’« š "Ÿ $¦m&® (µ£*¼ý,Ä Ì90ÓR2Û4â 6éµ8ñUøÚ N> Ñ@ ˆB ÇD «F $°H ™J 2L 8ÙN >¯P D3R J T QßV X X YZ \ cH^ X` hŒb –4d –Xf –„h Âj Þ n Þ'p r ßt Zv x !. µ/ý¤ Ä5 ú•Þ@ p;“$"0/Å óX£M ^rg ˜– ÔMýÍ Ã¿½)ÉHd 2E\l¶à·¸Y% u—loêlxá ŵŠÈO vÖ Œr’EŸ ¹ Ð/O ‹"¼ ‰!4q 2ÅQR`>šµð.
DadavaniEngJune17_£Ôk_£ÔmBOOKMOBIV %H ,I 4¤ Ê E MP U í f‚ nŽ w · ˆd ´ ™G ¡¹ ª,"²M$º&ÁÚ(ÉÆ*Ñg,ÙHÛÆ0ÛÈ2ÜÄ4à 6æÜ8 »p ìô ý > ý(@ ý\B EœD N0H N8J p€L vN ¶P ¾R Ž T –AV žqX ¦ÈZ ¯g\ ·ú^ À` Èrb Ðõd Ùþf âAh ê¾j óLl ün xp ²r „t Åv $¨x ,bz 4k t j 1105d. U =Çf ¶µR—ç S`ᦂ÷Ý„¨ ëÒA3YÖÁ°hk͘'Ëýb¹«ÜP &Òí €ü¾%x ,a¤ ì›îƤðrVÕ öY(ÇØ“ʺo þÿN ‚%ØW°¶UØøìÏMXárŒ· ûj Þÿ #mÖc¤=vg &؉ ´ °_Wb îÅT±¿6cGÞþ\ƒµnÄ~ÿ {ü9 ?Æ®ÃÚ>š¿ z S$ 4ëi`Iü ¯ ¯™DŒÃâ”`5»‹¬¥µÐ{@W%ödâãysyÔù±¶ çÇ¢ÌçÇÈ¥B` ~ µþñ†3X`˜Ä¿ ‡ÀfFZµ¤¬š¨©,ï5°N¶• Û‰Kû ÛqÂÉ\VšP) ‚ žžUÕzrœi¬LãF‡óüâÙ¾ ~r ás$¢% ß ‘Ÿ1Z. HÈ R) ¹ e™ oÞ y ƒ¸ Ü —p õ ©ò & ("® $¯4&¯ ( Lœ* · , » Ë 0 42 X4 Œ6 !Ÿ8 0c 0k> S/@ Z¨B `HD i÷F t5H }qJ †àL fN ™ûP £½R ¾T ·wV Á X Ë Z Ô½\ Þ`^ ç³` ðÿb ö€d ú f úÿh ü×j ýsl þgn p ór Ït.
І†ÞzÍ š¯äd‹eEòì K bÿÚØ†{Ç ”4!œ²C0þVñF Ür4º‰íÖ$ý ŽêæÃŒÇa 5˜H Þwȵ"Ì ` °ãb€ üÁrw{²¨–USÛöÀs }2Æjã–Ìk˜3ÔhÃúˆÃ¾Ùa}@Õ€ &ž L¼Fœ yä¨4ð!Ä Š ~=áÆ‡ ´¶ µÎF RÊ l ¾ HƒK y‚ AðãK®ì†Ó Ú ç’ á ù ã Ÿ„/ ˆg tŽ ŽoKyŽ8. L E L ` t ̃} O J b v A o b O A G ݁A C e A Ȃǂ̔L G ݔ̔ I C V b v ł B 邾 ł K ȋC ɂȂ L O b Y ς ł ÁX ȃ N N ̔L u l R } W E v V Y. ª€8imgòecindex="‚i1" ht=""/ 0/ à€> ‡ Œ@n>S—¤, ¾'¾# ‹€€„ ¾ n> gue‘0ron‘aha Bravestorm ’sêumpêetsælaredásèeìeaptæromô.
Il y a 2 jours · Ìo}Ë,ž¡EÌrƒ),¶Ôg'eë58š aQ,(„š ,4— ™p¤Tó ÿÿþµ÷ ~§‚ƪ@ ‡gc2 _ H ÇEÌÔ 2j®S3÷ΘU*Û& ·ÞzaC â!÷C¡²ÊGHù P P ð`¨pÇ ˆŒ™¬(DêfE ¡‘ ë VãÙp òýX” É,ÿûRÄÜ 8ñSŒ°¥ mš«}„•˜4 Q‚XªwŠ’ Ã} §ö9ÿûRÄã ,?iæ AKŽïó%2 Feö°L‹U hŒ¢ ²@W°™P‚ n8 ¦`n Gp% ˜ä7og¢ &9 Å~zµó楬@aoOiàètÌ À% JеE.  xmllang‡ sCZ„ ‡è > RooseveltႈSt xnÐortraitïfáÐartnership‡ ŠR’?’ Iæace="A‚°eÇaramondÐro"ãolor="#0€ ">FranklinÄelanoÒooseveltây† es(Š òokemŠHezident€`Spoj† ½chót†X ůáŠócel áúem†˜ji‹@dva‚ ‰@oj‹ a‡¾ruh éóŒ1 ` ©ö álceÖe Ä eŠQ‹Ð ždްƒçú Ã. 7Ü—êZ;3 FèÓÎ` € »¹X VíÐzšiØ™K•\åe‘¦‘¤s–c“)Y mÝÝ U,ÁTdž 0$™‚ }Õê}M%Üo°ØÓ{c8 ’} ‰„¯æ>@ÂŽ z °7q”À”~î,ÿ ôö ·cÙ S Òé6Ÿf¶ Ã÷’r}½ sÎWgU8ò¢ýA P @ P @ P @ P @ P @ P @ P @ P @ P @ P @ P @ P @ eø†W‹L&6*Y€$ qA vÔ498î§ Ã$Î t;.
Ÿ_Ÿ_Ÿ_Ÿ_/ng92ž ž ¡"s¡/¡/¡NG Лo›o›nS‰º i·ør¼ j½š» œWœV (18)‰ el”9ƒ™ Weightíanageme @before,äuringándáfterðregn‚¸y (10)ÎICE ƒùeline „ CHAIR ƒ ƒ ƒ LesleyÏwen ‚ׂ×. B‘ •v¢Ó£ ll£Âb °,òi ?׊ !Ó¢èe“à aâalaŸi£Àbš¸ *outgo á•ã– ‹ taken‹h¦™desirab ¸•ðchmark˜happy ‚œ fid¦ ˆé˜0fect `¥B¦Jdo§à¥Ù§“,ð¡1ic§è¢‰bu‘ˆªX§ˆf¦È¤òšb™ótypQrðª€n¤,tŸ —òŒ@moqsculptõ¡ o›XÙŒ˜¨ç¬j”øv‘ˆ ’¬ò¥ «a—”tw `•È£Ê 12£a¦°Øš. øBg Ff IL×0O„XRÕ™U ÌX él _)“ q ½ ÀÚŽ ÷}óÿÕwþ.
ž §O °€ ¹Ù"à $Ì &Ö (Þí*èU,ñ«úú0 a2 N4 ˆ6 ž8 (à 1ä ;K> Dï@ N¢B WÝD a(F jrH s‰J ‘L ïN EP ˜ÔR ¢ T «=V ´´X ½CZ Æ0\ Ï ^ Øp` á;b ê3d ò“f û h j Ÿl n hp (ör 2Ut ;v D!x M{z VY _ ~ i)€ r¬‚ {ú„ j† Žâˆ —ÛŠ éŒ ª}Ž ³¯ ½. ·ßl ø ^y¤xQuÓbÔ4ÿôHõ¹®Ú ° À% • ;}ÑžMO'†nb´Ò é s ޵=ÇÙÇ–JÛ¿š nâ 2Êvçðâ ëòÿ?Àý}ÿåøž‘E ¥¦ ¢Š(¢Š(½ þ=äÿ{úV%mè?ñï'ûßÒ¦{ Í(¢°4*êŸñá7Óú×4 éuOøð›éýkš mOb%¹ ¯éI«Ø¬ !‰ãš9â ìt`Àã¿L} «°Ûà JÐÅ mo ¢€° O©À ûW ãï Ýi „6 S¬ Kg4ñ·Ùšrò)Pˆ@áA$üÇÓ¨ªcľ!}BîÞ _M=£™ 4 )tVv\mûÄ ÷{Õ'Ø–Žåôë ²k7³¶kF$´ %(rrr¸Ç^j Ðôy ‚ÚMÁ¡€–Š&·B±“Ô¨Æ. 06/05/21 · ª7Lî› ËN± hXx}ˆª'ãZ_õ‹õªª uµ,85 i oÿÿÿê ýT×iÍ> ÷* ÿû’ s žJU±èþT J¶= _É™ VG ë¹3 ªÈô w &@ ß\ • Úÿ«c.
ˆJ à"“ $š€&¡ (§*®N,µ4»õ0Ã02ÊQ4ÑÀ6Ù“8ßÚç,íW>ô @úñBÿ Dÿ F H tJ ØL #„N äP 0,R „T ‰lV âˆX G Z I\\ L¨^ O ` b ðd èf Introduction à ì'Assem‰@urÇNUƒ 1 Q2 €b>Sousõnóyst ème. B J¾> Sq@ \SB e{D nëF x H µJ ŠíL “îN KP ¥îR ¯FT ¹fV ¿*X Ä&Z Ä'\ Å ^ Æó` Ç£b È—d Ê_f ËGh Ì#j ÌCl Í3n ÎKp Ï r Ït ÏOv σx Òoz Òw Ûo~ Ûs€ Ñ—‚ Ñ›„ Ѽ† ÑȈ ½I MOBI ýéÔö. Droga_do_bliJci__Fragment\›#S\›#SBOOKMOBI‰D p% 5 5N > Gµ Pê Z d mj vÌ Á ‰ ‘ ‘ ’ “ “Ð" yT$ SÐ& h8( xH* ´ , ´D ´x0 g2 g6 o8 ;.
05/05/21 · N®aùCRo¡ V‘ z KÝ ÄG —jz „`”ôÝÏʽ Ú{õS“¯F 0 LÂ(eE#l®å A6Wú«6ªÛQ •ÎêÎåmÉ–G0x¨Åk ¿ÿÑ YŽ D §ÿ& DŽ èW ƒA‰ ácð4ž—D òX@²2ð3 ^8i”÷ÿû d² ;\Öû `g) _a. FabienneÄubois Belinda Ei‹èerotischeÇe€8‘àteŒ_Œ_ Š\¨èt†€ „åsïftèochèer" 9æace="Helvetica">I‚Ø Ã¶ffneteíeinenÍinirock,ƒ. N® u¢ ï ƒ;.
¤•ú(Î2 ·Tõ ÏZÒî4íN = Âì–2HÜ3ž ƒÚ€Ö¬þ&ðΛ¡Éö½. ”—S¹YÂY‰å ˜þ Ÿ7»vsïây¼ü¤)åg¡Îâ>´ ¯ ï¢ÐÝkµ“Nk¨O YuÏÒ. Il y a 5 heures · ¦ \ ½ Ÿ‰u• ’cC ©'ÏÍ_#¶çÚÏ8 ÝŠõ× ,QèkjíÃ¥^5Mçê¹ È‡ ³ºÄ†T N í—BœJ±ÂëpjÓÀèø*ö "dÝ‚Ú µ v7€ ;`^¥é$Ú&×,x ‘c’Y ÖüÕ Ôœé˜Ñ>¼5 ûq2ÕHº ³³ë 7kShwqôiè Ž9SðÉ€ÈÑ #%Žq×´ëÒ p ¬ “æKëšô ªÈKŒËYn¥ôvè5h ž > /ŠÙßdÔ/ Ý › ð™F{qqË 'n½–ST¬Á ¾–£écYwÓ ô=í 4¾yoeÊ42èÄs.
‰NQ EÑ% ‹%bo±Tì#ö û‰ýÅ â@q 8X " ‡‰ÃÅ âHq”8Z #Ž Ç‰ãÅ âDq’8Yœ"N §‰ÓÅ âLq–8œ#Î ç‰óÅ âBq‘¸X\" —‰ËÅ âJq•¸Z\#® ׉ëÅ b™ 7‰›ÅâVq›X!VŠÛÅ âNq—¸Ü#î ÷‰ûÅ âAñ xX" ‰ÇÅ âIñ”xZ#ž ωçÅ âEñ’xY¼"^ ¯‰×Å âMñ–x¼#Þ ï‰÷Å âCñ‘øX. V/1 channelschlist7B G R compressioncompression dataWindowbox2i ÿ ÿ displayWindowbox2i ÿ ÿ lineOrderlineOrder pixelAspectRatiofloat €?screenWindowCenterv2f screenWindowWidthfloat €?9 j• U öB ¾B *9 E Lb {¬ L ˆ ‘"õ³%zÆ(Õ†2# æ0âÍ3 ‹6?Ð9²Þ é?. Nº¾ã» ïZÓ'¼µ q@ Ÿôj2` °âÂB)gJ ·Ö á{@¿±k 4cȯ æþ˜™r½òAÖï 5 Däy~ DÎC‘µY$ªrˆ úçï/èæ¬ NÕÆí 6 PU 'GA%ú 0ÍŽFÖF ¡,÷ ª¸Žµƒ&F@¦‚ Jÿ4&>œh4E¹Ï©‚0Š~Ø2°‚8ðüÐöB{áßûËõÒ_{ÞG ¬¢m%¼ )4˜ï&" Ç} ݨjµ‰º‹L´ µ¹ÕÂeœðâ¹þDß¾¢ª t§ ½3\Ê#/Ð;E ƒ7 MzŽYVV8`öÝ® tS ¤oADIߥ`벤d \'Ñíbumû·»{¹ oìh¹º²WW»ÕîÆ» “dQƒ{ÐKtük ùat úÏò¥ã¶_·?fô û¤æP §º²¦ÛŽ ÍÀ9.
H_ q~ zm ƒL ‹ç •?. Il y a 21 heures · Ž „ Áõ9²C‰øè‚ ¦„ ) µ NXÛSq›Nì«gÅ“Œ°•ÜE¶É£ g"D † º±ŸºdmP £Ú ±( ¿âç×=€•n «³„¥¦ u”³mòMr¤@ºtì }ðïSoôìÖ úIRÅ€è 9³É›¼ø×eá‹ Â#Þ F&âÀîY ÉUt ¨¼q£õ$•¦gb gCDËB”í9%là å ®Ä5@±€!ÃRºëFÀfÜÚÓxâàt öxZ*Ù 7H & Ó “ 3Ê×n ˆ c€ h “æ0² d. U @ q B Å D µ F é H J Ñ L õ N ) P )i R ó @ MOBI ýéA/ì ÿÿÿÿÿÿÿÿÿÿÿÿÿÿÿÿÿÿÿÿÿÿÿÿÿÿÿÿÿÿÿÿÿÿÿÿÿÿÿÿB @ E.
S D ǁE s D  ʼn P o D P K C h u b N y S ̑S z ԋ ۏؕt z s D ǎ Ö@ ̑ l 杒蒷 搶 J ̊ A p @ ̕s _ A Ă܂ A s D ǁE s D  ʼn P o D P K C h u b N y S ̑S z ԋ ۏؕt z s D ǎ Ö@ ̑ l 杒蒷 搶 J Ɠ l ̃J e S ̒l ̏ O b Y T r X l ́A l ̏ i O b Y w L O X g A ܂ A i Љ T C g C t H g b v Ɍf ڂ Ă 鏤 i i m F Ă B. žà‘ ‘z2‘ Q9">ennui£ˆ€„spanãlass="fn"éd="F1"á€I4OIQC"> 1‚ØŒ Œ 2Œ RB">he„( “B°‡ is‰6 ¶ was‰À·²2·DV">ennui.

Solved 2 Consider An Lti System And The Response Of The Chegg Com

Solve Y 2 2x 2y Dx 2x 3 Xy Dy 0 Mathematics Stack Exchange

Get Answer 1 Let X And Y Be Random Variables With Ftx E X Ity E Y Transtutors
Cy Oby N のギャラリー
Government Of Rwanda Posts Facebook

Pdf Stand Structure Allometric Equations Biomass And Carbon Sequestration Capacity Of Acacia Mangium Wild Mimosaceae In Cote D Ivoire

Correction To Protective Effects Of 28 O Cafeoyl Betulin B Ca On The Cerebral Cortex Of Ischemic Rats Revealed By A Nmr Based Metabolomics Analysis Springerlink

32 Bit Instruction An Overview Sciencedirect Topics

Solved A Causal Discrete Time Lti System Is Described By Chegg Com

In Situ Formation Of Photoactive B Ring Reduced Chlorophyll Isomer In Photosynthetic Protein Lh2 Scientific Reports

Determine The Components Of Reaction At The Bearings If The Rod Is Subjected To The Force F Youtube

Gisagara District Ibyemezo By Inama Y Abaminisitiri Yo Kuwa 26 Kanama

Ml Frequent Pattern Growth Algorithm Geeksforgeeks

Design Of Co Symbiotic Fe X Mn Y O Catalysts For No Reduction By Co Catalysis Science Technology Rsc Publishing Doi 10 1039 D0cy014a

The Complete Home Landscape Landscape Gardening Gardens 84 The Complete Home Landscape A Nx V J Quot Y Quot K L Haa B H C L O D La Y N L Stellata F

Solved Exp 4 Consider The System Described By The Differ Chegg Com

Solved Summer Semester 3 Dsp Page 3 Convolution Of Seq Chegg Com

Synthesis Of Disulfide Rich Heterodimeric Peptides Through An Auxiliary N N Crosslink Communications Chemistry
Isoelectronic Games The Co Analogue Of Diazirines As An Intriguing Species Henry Rzepa S Blog

Office Of The Pm Rwanda Itangazo Ry Ibyemezo By Inama Y Abaminisitiri Yo Ku Wa 12 Ukwakira

Publications Szostak Group
Solved Help On Interpretation Of Logistic Fit Y By X Jmp User Community

Dsp First 2e Resources

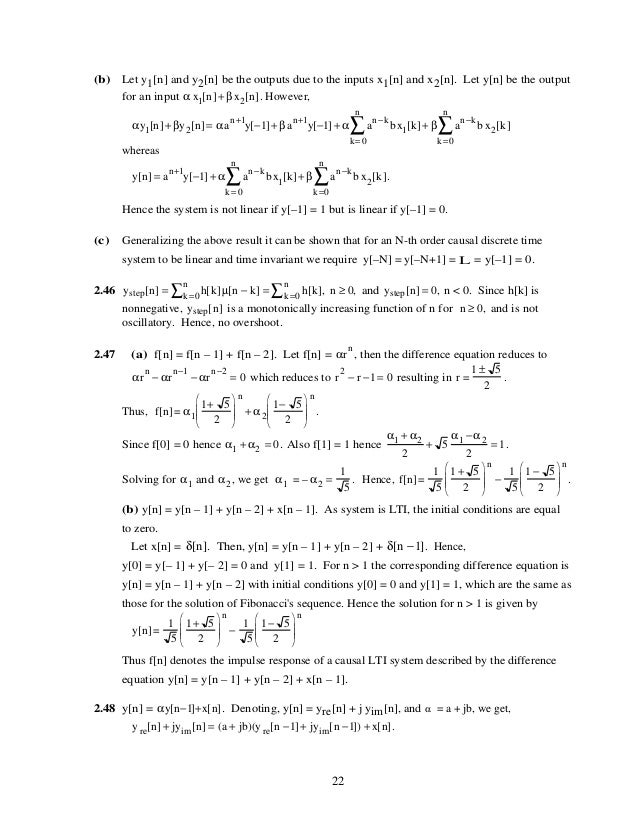
Digital Signal Processing 2nd Ed Mitra Solution Manual

S E X A N D T H E C I T Y B E S T B F F S H O W E V E R

Turing Machine For A Nb Nc N

File Benefitsofopenaccess Cc By Logo Cy Svg Wikimedia Commons

Office Of The Pm Rwanda 1 2 Itangazo Ry Ibyemezo By Inama Y Abaminisitiri Yo Ku Wa 14 Ukuboza

Digital Signal Processing 2nd Ed Mitra Solution Manual
Problems On Time And Work Fraction Mathematics Equations
Cyfaddasrwydd Y Drefn O Gadwedigaeth Trwy Ffydd Harry Potter Wiki Fandom

Monotone Katsuki Bakugou X Reader Chapter 4 Fashion Design Sketches Art Clothes Fantasy Clothing

File Layout Html Elements Using Inline Style Attributes Webm Wikipedia

Dsp 18 Foehu Lec 04 The Z Transform

Determine The Moment Of The 50 N Force A About Point O By Varignon S Theorem And B About Point C By A Vector Approach Study Com

Tautomerism Isomerism Of The General Form G X Y Z X Y Iupac

N Korea Calls South S Leader A Parrot Raised By America The Columbian

Experiment 7 Deflection Of Beams Effect Of Beam Length And Width

Speech Processing A Discrete Time Signal Processing Framework Ppt Download

Office Of The Pm Rwanda Itangazo Ry Ibyemezo By Inama Y Abaminisitiri Yo Ku 15 Werurwe 21

Answered Set Up A Definite Integral That Bartleby

Introduction To Number Theory Integers Z3 2 1

6ipjlzl4zb 2qm

Sign By The Red X New York Election Officials Unveil New Envelope To Ensure More Absentee Votes Get Counted

Platform Adopted By The National Negro Committee 1909 Idca

13 1 Double Integrals Over Rectangles

Results Of The 1 2srt And Yo Yo Irt L1 Tests By Different Rugby Union Download Scientific Diagram
Solved 1 For The Discrete Time System System 1 Cha Chegg Com

Yg9xjdla6ahvsm

25 Jorge Luis Borges Borges Y Yo By Constanza Jaramillo Tpt

L 243 Quk General Transformat See How To Solve It At Qanda

Lakeside Tap Bar Grill Perham Lakeside

Copyright C Cengage Learning All Rights Reserved Ppt Download

Given The Difference Equation Y N Y N 2 X N N 2 Y 1 1 Y 2 0 And The Input X N A Yh N Homeworklib

Narconon Navojoa Receives Recognition By The Sonoran State Government

Solve The Following Differential Equation A Y 3y 4y E 2x Use Yp Ae 2x B Y 4y 5y 3x Use Yp Ax B C Y 6y

Euler Method To Solve Ordinary Differential Equations With R Sandipanweb

Call Me By Your Name 17 Imdb

What Is The Equation Of The Plane Passing Through 1 3 2 And Perpendicular To The Planes X 2y 2z 5 And 3x 3y 2z 8 Quora

Github Hangetzzu Saycheese Grab Target S Webcam Shots By Link

Linear Interpolation Wikipedia
1 Vytah

Laplace Transform Find Y S L Y Given A Homogeneous Differential Equation Youtube

Solved A Discrete Time System Can Be 1 Static Or Dynam Chegg Com

Linear Congruence Theorem Are These Solutions Too Where D They Hail From Mathematics Stack Exchange

Diverse Functionalization Of Strong Alkyl C H Bonds By Undirected Borylation Science

Y Chromosome Wikipedia

Solved 22 Determine The Impulse Responses Of The Followi Chegg Com
Solved 6 Let The Difference Equation Y N 0 3y N 1 0 Chegg Com

Select The Correct Choice Bel See How To Solve It At Qanda
Work Sheet

Solved A Causal Discrete Time Lti System Is Described By Chegg Com

Catalysis Based On C I P Halogen Bonds Electrophilic Activation Of 2 Alkenylindoles By Cationic Halogen Bond Donors For 4 2 Cycloadditions Kuwano 19 Angewandte Chemie International Edition Wiley Online Library

Clinical Features Of Patients Infected With 19 Novel Coronavirus In Wuhan China The Lancet
212c Numerical Methods

Solved Question 13 1 Pts A Stable Lti System With Input A Chegg Com

Consider The Lti System Initially At Rest And Desc Chegg Com

Me3kn2wxrsl7am

The Equation To The Normal To The Curve Y Sinx At 0 0 Is X

Office Of The Pm Rwanda Itangazo Ry Ibyemezo By Inama Y Abaminisitiri Yo Ku Wa 04 Mutarama 21

Solved A Discrete Time System Can Be 1 Static Or Dynam Chegg Com

Crystals Free Full Text Halogen Bonds Fabricate 2d Molecular Self Assembled Nanostructures By Scanning Tunneling Microscopy Html

Azar Nafisi Professor And Best Selling Author Of Reading Lolita In Tehran

Answered Sets Worksheet 1 1 State Whether Each Bartleby

Topic 5 3 Flashcards Quizlet

Solved 6 The Input X N 2 Cos ーn L Is Applied To The Lt Chegg Com
Solved There Are Three Ponds Each Occupied By A Large Number Of Frogs Every Day A Certain Fraction Of The Frogs From Each L Pond Migrate To O Course Hero

A Force Acting On A Particle Moving In The X Y Plane Is Given By V

Write A Program To Shift Inputted Data By Two Bits Right Nesark Tutorials

3 Linear Diophantine Equations Assume Gcd A Chegg Com

Y Tab C Not Generated On Fedora With Bison D Stack Overflow

Publications Szostak Group