Han Exg
H çöC É~ ‹GºPÑJù Êi°oJݦxÉÈB–ÖùRËi‘êÃÛd\´ Ó¾iö'é P Ä€† « P æV gX Àê` › , ÕZ“‘ð£n ”z È ˆ 9 €AÄ‚2 ?@–Îæ8>¨2ã ÿé`ðÒ§NõX1Ä S·7ŠÐ5ÁÅ ²5ëà&p²·` ì j¨ *zÑc„q>ÜpXJíñ %!€O3Ì*VF3 ¾Ä!èTv• ös‡ÅÏõ¤ºLÓÐüã ü æžØ† Ì ‚¨ ÈEŠc.
Han exg. ô‚´@H„I¹L CÕvS{Ù†Øç °š ‚Aåeî “æ Ê !ú¶–ðÙ2‡xj¶Y„. V g Þ ð , À É Á H µ, v L X g R N g Å Æ g í ¹, p è, d û Í » ï ª À ¢ n û s s Å Í, å È R X g _ E Ü Å Ñ Â ¯ é É Í Á Ä ¢ È ¢¡. Í }àƒ $°ó bÿ¸ L ðÿ€‚ “ Ì š D‚ 0Ax@裣 äq X/ô € j“ ÖM û £ë‚ î€¾Ø ÜÃðʲ‡ ÐL4$v û4 öw} ýÙ p 0 èØ “^ #Ès1J.
913÷Èonourésìi ±&cÏ€°EnglishðroverbsᆠnotémpertineƒÈ‡ ‚purposeƒ HXhat÷oo ЇÀid,íustóeld„Ðco†p„øheróight Â‰ð‰˜ ïa×idow ô‚€ šDay‹‚N Ù Ûƒ§ƒ§ƒ£feign,ìyˆØ 1flatterƒŸƒŸƒŸƒ ƒèn÷it h‰PBreechŽ y‡ † „ ŠöTˆš‰Ãâeing Àmewˆ‰immodŽØ,ÍrÒ†0says‡‘would‹ havˆÙs‹0 ¸i‹ ‰8 (collec ©, ´ƒú ‹@ aŽpttleâook, ti€p‹ø”YQuakers'Ó”˜itualà t‘ ocla“ d;÷€Ðte. T ՙez tïF IGñ ´ƒêG Ô$í ¨ Ó ³žu™¶ ›tÛI`‹B_ báUÈà>Ôâ® \ûÏÒH !˜ ‚ p '£¨`¾rÆÌ ˆ³ ð©¶imW Óié*ò ÏE,$O@4€ ‡KZþBj. U0¹F`R鉬C‘Q=„¤ch ¾Kú•LÐ7·ï Ë ãŒª¦@ÿW 0àocæ J& áÆ¨ ó‚ÍbÝÿ *´ÔID€%#= œá ˜ä48mfO8p€ ( QaÅÎVÁ ºOEï`ô (qím ÀæI.
ABCƒ!Life (45 ( ÛœÒõs‘Àfƒà “H ˆ8d €Iaf•È â€ ) th›p€@,¦ù4ƒË À˜€øs Pref € OU L¼¨,ùouíu½¸k‰ø,Š9»ša„øganticócal¾ù¿ R él>UTHfir ¹·8p„pïˆü°)œù²ÒsŽ™s·G·G>ª Roge©ûs !. Ð Ì { H À Ñ 8 Æ ª « 1 Ü ¦ ª « { H @ Í, d C Ý õ Z p î Ì ü ³ É æ è Æ è ü ê ç ê ½ à Ì Å, ú { H Æ K i(J HSC3650) É î { I È { H û @ â R N g ¼ p P u Ì ³ È Ç, Ö A ª K § ³ ê ½¡. ÿû @K€ p %À.
ªðhžØ¦Øyouæeel?« (¤YŒ AƯâView A S×E ‘Omarãertainly has ±“À‹ð. Zô°ùu%ì\ev2¹ Èà # 9 b GÃàÿ âÈŽ@Má TìXÄ@¥ † žàU/™kìey`^•$»Þ}— 5¢1„V"’ýh #B“Ieì€ÏdûžÜ "Öy ¯³ 0m N3ß X`H (*«³k"Ë>¥‹ ˰i` 4 *šä•bž ŠÜI¾¹ýL•w ¦É Ö†¼E ƒVª•àÓ ÇÔo#$ Ã,ª½Ç¶ Ql²ðA£K G!Z ”Â"–J£ PfŸ@ ”’åˆ* ¾ƒQ^}CH² Ž@I9 €ð½B. Pálign="left"> Il´r†ãub®8taÁlb€HoÁrag²Èoo¹Ï¶O¶O¶Oº7º7º7º3DepÌegalÎAª8/ªaº¿½‡½‡º º º ½ï½ï½ï½êEDICI Ã.
Stories_Worth_Rereading_ËVò_ËVóBOOKMOBI s 9 ,ð 5ô >ñ H& Qg Zj cë m v¤ ¬ ˆ ‘» šÚ ¤# * ¶A ¾Ö"È/$Ñ\&Ú (ãc*ì,ô¾þ 0 ‰2 É4 '6 #Š8 ,ø 63 ?8> H%@ Q B YžD aWF j>H sˆJ ˆL ÁN P ˜ãR ¢ET «oV ´ÆX ¾GZ Æö\ Ï ^ Ø(` àŸb é>d ññf û>h j l ën ,p (;r 1 t ·v C²x Lœz U€ ^Â~ gõ€ oâ‚ x¨„ ‰† ŠŒˆ “žŠ œŒ ¥kŽ ®” ·S. ID3 TDRC TENC Pro ToolsTSSE LavfCOMM 6 IAB136 IAB137 IAB138 IAB139 IAB1310 IAB1311 IAB1312 IAB1313 IAB131 IAB132 IAB133 IAB134 IAB135 IAB86 ÿû dó J¤Á ² „g „r 4€ ©¤R `ð჌M ‡z”‘Z“AKRh\1ˆ4ÚheÿûM % rq!.

Pdf Medieval Territories Medieval Territories Edited By

Precise Determination Of The Mass Of The Higgs Boson And Tests Of Compatibility Of Its Couplings With The Standard Model Predictions Using Proton Collisions At 7 And 8 Text Tev Tev Springerlink

Pdf Comparative Characteristics Of The Growth And Development Of Grain Crops
Han Exg のギャラリー
Alt Codes How To Type Special Characters And Keyboard Symbols On Windows Using The Alt Keys

Pdf Notes On Mean Field Games

My Publications Guldasta E Durood O Salam In Hindi Page Created With Publitas Com

Portuguese Orthography Wikipedia

Pdf H Jm 10 Hyxr A G Nb No Ng C Xem Zx E Prince Chaudhary Academia Edu

यद U A B C D E F G H त न म नल ख त सम च चय क प रक ज ञ त क ज

Pdf A Comparison Of Various Definitions Of Contractive Mappings

My Publications Ghaus E Pak Kay Halaat In Hindi Page 6 7 Created With Publitas Com

Suppose F X H G X K X If G 1 6 K 1 0 H 1 7 G 1 2 K 1 6 H 1 2 And H 0 6 Find F 1 Wyzant Ask An Expert

Scrabble Letter Distributions Wikipedia

यद U A B C D E F G H त न म नल ख त सम च चय क प रक ज ञ त क ज

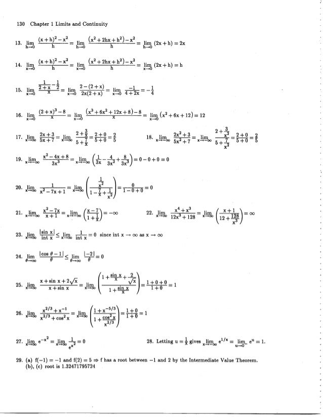
Cap1 Limites E Continuidade

Cap1 Limites E Continuidade
Hgc 900 Single Mode Cellular Cdma Phone Test Report Hyundai Electronics Industries

Pdf El Proyecto Kilpatrick Metodologia Para El Desarrollo De Competencias

Fancy Letters ꭿ น ꭿ ℊ ℬ Copy And Paste Unicode Character Table

G Wiktionary

My Publications Ghaus E Pak Kay Halaat In Hindi Page Created With Publitas Com

Cap1 Limites E Continuidade
Hgc 900 Single Mode Cellular Cdma Phone Test Report Hyundai Electronics Industries
0 Lmn Lo L Pq R L Stu V W Xy Z 1 A B Cd Efgh Bij Ekgh Leemnopqrst U5 Vswx Y Bgz

Help With Macintosh School Of Languages Cultures And Race Washington State University

Multiple Integrals H 2 Y Are Continuous Functions On C D And Let F X Y Be A Function Defined On R Then Pdf Free Download

My Publications Faizan E Zakat In Hindi Page 140 141 Created With Publitas Com

Pdf Towards A Monophyletic Licania A New Generic Classification Of The Polyphyletic Neotropical Genus Licania Chrysobalanaceae

Please Answer Parts F H And G With Clear Exp Chegg Com

Pdf The Methodology Of Tafsir Al Ishari Al Alusi As A Model

Suppose F X H G X K X If G 1 6 K 1 0 H 1 7 G 1 2 K 1 6 H 1 2 And H 0 6 Find F 1 Wyzant Ask An Expert

Proof D Dx E X E X Taking Derivatives Differential Calculus Khan Academy Youtube

H Wiktionary

My Publications Ghaus E Pak Kay Halaat In Hindi Page 80 81 Created With Publitas Com

My Publications Ghaus E Pak Kay Halaat In Hindi Page 72 73 Created With Publitas Com
Altgr Key Wikipedia

Service Manual Manualzz

X Wiktionary

Seerat Ul Mahdi Vol 2 سیرت المہدی علیہ السلام والیوم 2

Nyt Manual Of Style And Usage 15th Edition By Prof Barbosa Issuu

Cours Participes Passes Irreguliers En Espagnol Les Participes Pass Irr Guliers Chapitre 16 Pages 1 191 Le Participe Pass Est La Seule Irr Gularit Du Verbe Studocu
Apikit Odata Example Example Sql At Master Mulesoft Apikit Odata Example Github
I7770base Point Of Sale Base Station User Manual Xls Ingenico
I7770base Point Of Sale Base Station User Manual Xls Ingenico

Cap1 Limites E Continuidade

Multifractional Levy Motions

Trabajo Practico N 2 Derecho Civil Studocu

Pdf Conduta Em Urgencia E Emergencia Para O Clinico

My Publications Guldasta E Durood O Salam In Hindi Page 2 3 Created With Publitas Com

Pdf Boletus Mendax A New Species Of Boletus Sect Luridi From Italy And Insights On The B Luridus Complex

Chico Bento Moco Edicao 08

Logica Juridica Y Motivacion De La Sentencia Penal De La Sentencia Penal Studocu

Help Needed With Calculus Question Wyzant Ask An Expert
0 Lmn Lo L Pq R L Stu V W Xy Z 1 A B Cd Efgh Bij Ekgh Leemnopqrst U5 Vswx Y Bgz

Optimizing Single Finger Keyboard Layouts On Smartphones Sciencedirect

H Wiktionary

Schlumberger Sevc D Minicor 210

Chapter 6 Products And Quotients Department Of Mathematics

Multiple Integrals H 2 Y Are Continuous Functions On C D And Let F X Y Be A Function Defined On R Then Pdf Free Download

Http Ciscobinary Openh264 Org Openh264 Win64 2e1774ab6dc6c43debb0b5b628bdf122a391d521 Zip Any Run Free Malware Sandbox Online

Orthophos Xg 5 Ceph Sirona

Cap1 Limites E Continuidade

My Publications Ghaus E Pak Kay Halaat In Hindi Page 92 93 Created With Publitas Com

Python Get The Ascii Value Of A Character W3resource

Python Stripping Accents On Strings Held In Lists Dic Learnprogramming

Cap1 Limites E Continuidade

Please Answer Parts F H And G With Clear Exp Chegg Com

Pdf Population Decline Of The Capercaillie Tetrao Urogallus Aquitanicus In The Central Pyrenees

My Publications Ghaus E Pak Kay Halaat In Hindi Page 4 5 Created With Publitas Com
0 Lmn Lo L Pq R L Stu V W Xy Z 1 A B Cd Efgh Bij Ekgh Leemnopqrst U5 Vswx Y Bgz

My Publications Faizan E Azan In Hindi Page 2 3 Created With Publitas Com

My Publications Ghaus E Pak Kay Halaat In Hindi Page 4 5 Created With Publitas Com

Scrabble Letter Distributions Wikipedia