Ln Lncs
N e m a r t i n m l a k i n g l b l v d ec a r y ave e cheyenne ave a l e n l a ea x a n dr w na r d e wo en s av lake mea db v w l one m u tai rd w l a k em a d b l.
Ln lncs. Live Naitional Cricket scor L N C S 523 likes Sports League. 肾 Đ 삵 Ƃ ł B L { h ̃ A ƃ^ C s Ƃ ~ j ` A C W 肭 a i ɐ Ǝv ܂ B. Solve using only methods learned In.
L n A c s i イ ނ j B ̎w Ȃ ŁA ̎v ܂܁A ܂ ܂Ȃ Ƃ Ă ܂ 悤 t ̂悤 ł B S Ɋ ɂ āA S ɕ ł 邳 ܂ ܂Ȃ Ƃ l A s Ɉڂ Ƃ Ǝv ܂ B ܂ A u c Ɓv Ƃ t ܂ ̂ŁA k ̍ X R ݂ɑ Ă ܂ A Ƃ Ӗ Ǝv ܂ B d v ̈Ӗ c u イ v Ɠǂ݁A @ ĂƂ悱 B n } ̏c Ɖ B k B A v ܂܁B s u ނ v Ɠǂ݁A 邱 Ƃ Ȃ ƁB 肪 Ȃ ƁB c āB B 邷 B ق ܂܁B 悱 B ܂ ͍ E B Ȃ B ɂ 錾 t B s B B R ݁ u 䂤 v Ɠǂ݁A. L N ^ C s ́A ^ C s Ƃ Ă ܂ B l N ^ C s ɂ̓^ C ^ b N E ^ C N b v E ^ C o Ȃǂ ܂ B l N ^ C Ƀs h A N b v ̂悤 Ƀl N ^ C ނ ̂Ȃǂł B l N ^ C 𗯂߂锽 Α ͏ 肪 Ă 邱 Ƃ ł B l N ^ C s ɂ́A V o A S h A v ` i ̂ ̓ ܂ B ܂ Ƃ ă_ C h ^ Ȃǂ̕ t Ă 鍂 ȃl N ^ C s ܂ B ɓ ̃L N ^ A A j Ȃǂ̃L N ^ t Ă 邩 킢 l N ^ C s ܂ B ́A l N ^ C s 𒅂 Ȃ Ȃ Ă ܂ B ɎႢ ̕ ́A l N. 437 Followers, Following, 31 Posts See Instagram photos and videos from L N C (@laurennicholsoncreative).
J A S I E L N C (@the_nexus574) on TikTok 53 Likes 8 Fans ⭐ Watch the latest video from J A S I E L N C (@the_nexus574). TM_NETWORK N Ǝ g p Ă V _ L { h uTetsuya's Mind Control v e B t ɃV o l N ^ C s 삵 ܂ B Ղ { f B ܂őS Ĉꂩ ޖ C 肾 Ă ܂ B { f B ɍ Ă 镶 ͎w t H g Ń U 肵 Ă ܂ B ɋ S ̂ Օ Ō Ո 02mm قǂ̋ ނ 1 Â. Deeps_star X_L_N_C 6 2 16 d shiyaanShort Deeps_star X_L_N_C 6 2 16 d Dheere Dheere Se(Short) Pinkisharma992 X_L_N_C 5 2 16 d {Short} JAB KOI BAAT BIGAD JAYE 🌹.
Jan 25, 21View Adobe_Scan_Jan_25_21pdf from MATH 1 at Syracuse University ' AME s)o() or, ln\c_'s\ BLOCK_DATE_ \ ;~H Exponential and Log Review , I Show all work!. Lnc is a fanfiction author that has written 3 stories for Bleach, and YuGiOh. SCORECARD LEARNING IN NEIGHBORHOOD COMMUNITY SERVICE (LINCS) Among the many service opportunities that our students pursue each year, the opportunity to earn LINCS hours is an important measure of the service our students dedicate to our larger school community.

Early Appendectomy Shortens Antibiotic Course And Hospital Stay In Children With Early Perforated Appendicitis Pediatrics Neonatology

Effects Of Nanoparticles And Surfactant Charge Groups On The Properties Of Ves Gel

Jotun Demidekk Ultimate Tackle 10 L Wood Colour Ncs S 7500 N Grey Amazon Co Uk Diy Tools
Ln Lncs のギャラリー

Www Hattons Co Uk Corgi Collectables Cc107 Ln Mercedes Actros C S Derek Linch Pre Owned Like New
Osa Heterogeneous Integration Of Lithium Niobate And Silicon Nitride Waveguides For Wafer Scale Photonic Integrated Circuits On Silicon

Aviation Photographs Of Registration Ln Klv Abpic

09 Sportster Models Parts Catalog Speedometer Tachometer 8 L N R 10l N R Manchester Harley Davidson

Maxwell And Williams Teas N Cs Contessa Mug Pink 0 30l Ebay

Enlarged Asymmetry Of Tropical Pacific Rainfall Anomalies Induced By El Nino And La Nina Under Global Warming In Journal Of Climate Volume 30 Issue 4 17

Functional Regeneration Of The Transected Recurrent Laryngeal Nerve Using A Collagen Scaffold Loaded With Laminin And Laminin Binding nf And Gdnf Scientific Reports

Wastewater Engineering

Answered Problem 5 A Nichrome Rod Of Length Ln Bartleby

Jack C Richards 50 Tips For Teacher Development Cambr Cond Ln Nsd For Sale Online Ebay

Monitoring The Concentration Of Reactants With Time

Battery For Logitech M Ro052 533 0001 533 Ahb L N 1 Fusion Battery

In The Know About Lymph Nodes Fields April

Normalux Dunna Rtulo Bajada Banderola Ln B Lamparas De Diseno

Ijms Free Full Text Lymph Nodes And Cancer Metastasis New Perspectives On The Role Of Intranodal Lymphatic Sinuses Html

Solved Why Is Ln T1 T2 Used Here And Not Ln T2 T1 Like Chegg Com
Eritel Ln 80 Tablet Uses Dosage Side Effects Price Composition Practo

Cermets Ni Ce0 9ln0 1o1 95 Ln Gd La Nd And Sm Prepared By Solution Combustion Method As Catalysts For Hydrogen Production By Partial Oxidation Of Methane Sciencedirect

Enlarged Asymmetry Of Tropical Pacific Rainfall Anomalies Induced By El Nino And La Nina Under Global Warming In Journal Of Climate Volume 30 Issue 4 17

Lass At The L N And L B Courtship Marriage English Ballads National Library Of Scotland

Exponentials And Logarithms Maths A Level Revision

Gibbs Free Energy Temperature And Spontaneity Ppt Download
Learn More About Properties Of Lanthanides In 2 Minutes

Motorcycle Gas Tank Decal Shark Sticker For Harley Sportster Xl 8 L N R Xl 10 C S L N R V Xr 10 3 3 4 5 Gallon Decals Stickers Aliexpress

10 Sportster Models Parts Catalog Footrests 8c L N R 10c L N X Chester Harley Davidson

29 Daily List Of December 14th Contd Daily List Of December 15th No 5443 In Eleven Parts Weekly Casualty Lists Weekly List No British Military Lists National Library Of Scotland
Ln Wark Youtube

08 Sportster Models Parts Catalog Footrests 8 C L R 10c L N R Chester Harley Davidson

Team Leiden Model 18 Igem Org

Frontiers Nitrogen Supply Affects Photosynthesis And Photoprotective Attributes During Drought Induced Senescence In Quinoa Plant Science

Mk Ln 5905 Ln 5906 Ln5910 Ln5915 Ln5916 Ln59 Ln 5930 Ln 5932 Type 2 Mcb S

Rare Earth Metal And Actinide Organoimide Chemistry Chemical Society Reviews Rsc Publishing Doi 10 1039 C8cse

The Human Dimension Of Water Availability Influence Of Management Rules On Water Supply For Irrigated Agriculture And The Environment Sciencedirect

Ppt Ln A Ln A 0 Kt Powerpoint Presentation Free Download Id

Iron Catalysts With N Ligands For Carbene Transfer Of Diazo Reagents Chemical Society Reviews Rsc Publishing

Ln 003 Noma Floor Lamp White Gong

Siglec1 Expressing Subcapsular Sinus Macrophages Provide Soil For Melanoma Lymph Node Metastasis Elife

Lner Railway Ticket Biggleswade Blank 2 25 Picclick Uk

Crystal Structures And Spin Crossover Behavior Of Iron Ii Complexes With Chiral And Racemic Ligands Sekimoto 17 European Journal Of Inorganic Chemistry Wiley Online Library

Extracellular Signals Induce Glycoprotein M6a Clustering Of Lipid Rafts And Associated Signaling Molecules Journal Of Neuroscience

Wastewater Engineering

Ncs
Integration By Parts 5x Ln 4x Dx Physics Forums

Aia North Carolina Directory Directory

Built In Types Of Data

S L N C R Railway Ticket Dromahair To Pettigo 1 00 Picclick Uk

In The Know About Lymph Nodes Fields April

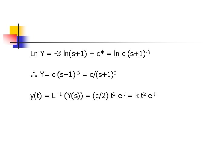
Chapter 5 Laplace Transform Laft Bgt A Lft

Online Authenticated Encryption And Its Nonce Reuse Misuse Resistance Springerlink

Solved Select The Correct Statements S A Ln X Y Ln X Chegg Com
Natural Land Cheshire Life
Calculus Cheat Sheet Integrals Studocu

Pdf Cocos Nucifera L Arecaceae A Phytochemical And Pharmacological Review

Integrating Other Functions Edexcel A Level Maths Pure Revision Notes

Cs 230 Convolutional Neural Networks Cheatsheet
What Is The Derivative Of Ln X Quora

L N Letter Lettering Calm Artwork Love You

Lg Tv Model Number Explained Led Nanocell Oled 11 21 Tab Tv

Ncs 24 Ln Mini Collapsible Burlap Linen Cone Shaped Jewelry Display 1 91 Nilecorp Com Jewellery Display Jewelry Tray Display Jewelry Crafts
Solved 2 What Is The Domain Of The Function F X 14 Ln X Chegg Com

Jt Rubber Cushioned Front Drive Motorcycle Sprocket Jtf579rb 17 Teeth Fits Yamaha Fj1100 L N 84 85 Fj1100 L N Cn Cl Usa 84 85 Fj10 86 90 Fj10 3xw Ya 91 94 Fj10 S T Cs Ct Usa 86 87 Amazon Co Uk Car Motorbike

Functional Regeneration Of The Transected Recurrent Laryngeal Nerve Using A Collagen Scaffold Loaded With Laminin And Laminin Binding nf And Gdnf Scientific Reports

Ijms Free Full Text Lymph Nodes And Cancer Metastasis New Perspectives On The Role Of Intranodal Lymphatic Sinuses Html

Ring Maker Mould 8mm Wide Uk Size L N

S L N C R Railway Ticket Dromahair To Pettigo 1 00 Picclick Uk

Aia North Carolina 14
Inverse Trigonometric Functions Wikipedia

Architecture D Aujourd Hui L N 23 Du 01 05 1949 Revue Barnebys

286 S Kingfisher Ln Hampstead Nc Realtor Com

Aia North Carolina Directory Directory

L B S C R Luggage Label Brighton Central To Leeds L N W R Ebay

Faster And Better Crispr Guide Rna Design With The Crackling Method Biorxiv

Maxwell And Williams Teas N Cs Contessa Coupe Mug Pink 0 30l Ebay

Battery For Logitech M Ro052 533 0001 533 Ahb L N 1 Fusion Battery

Fine Needle Aspiration Biopsy Of The Lymph Node A Novel Tool For The Monitoring Of Immune Responses After Skin Antigen Delivery The Journal Of Immunology
Integration By Parts Wikipedia

Why Do You Need To Put Absolute Values Around Ln X After Taking The Antiderivative Of 1 X Quora

Ln Cc Com Thelncc Twitter

A Arrhenius Plots For The Reduction Reaction Catalysed By Preformed Download Scientific Diagram

Reduction Of 4 Nitrophenol And 2 Nitroaniline Using Immobilized Comn 2 O 4 Nps On Lignin Supported On Fps Rsc Advances Rsc Publishing Doi 10 1039 D0rac

Fast Enough For Me

Www Hattons Co Uk Corgi Collectables Cc107 Ln Mercedes Actros C S Derek Linch Pre Owned Like New

Plot Of Ln Initial Rate Vs Ln Catalyst Concentration All Other Download Scientific Diagram



