Lby F A
³ æ Å Ì $!ã å w5_(* ã Ò á é ú å Õ &V " å %ò é È » ã Ò á ý#n á ¿ Ä$Â é % å"á" ê 1453 ù â æ F ) f 9 f â Ö â % Ò Ú ã(( Ã 2 = * , é %ò n Ä é $ ý Ø ü Ë 1 é# $å ã ½ Ö á Nð Ò n Ä Ç Ù Þ Ð Ú U Õ" å A æ1< Î ã â ½ 4P % Ô n Ä ê.
Lby f a. = ~ ÖÑ á ' ' A P à ¨½ ÝÖf à ÒÝÖ ~Ò~ Ý Ò¨ÖÝ¨Ñ á Ö W¨¼ Ï·¨ ~ݨýf áfÝÒ~¨Ý ¼ ½Ý 8 Öf¼ ~ ÖÑá Öf8¨Ý Ãá ¥fÖ¨¼ Ï·¨ ½Ýf· ÝÒ~¨Ý ¼ ½ÝfÏÃáÒf· Öf ½ ~½ÝÖfÑá¨f ÏÒÃáì ½Ýf Ö ¨ á·Ý Öf fáݨ·¨Ö Òf·` ¼ ÃáÝf á. áÏS¼ á´¨~f6 ô ¨· f Ò¨fÝáÃÝÝ ¨Ý~f²~f·Çó ·~ÏÖ ·· Ö¨fÏ~Ò¥~¨Ý ½fÖÃϨì~fó¥ ¨ÖÝ ·¼ Òì f´ ¥¨ÝóÖ 4áü ~~½fÃÏϨ¼ ¨½ ½fýfÝ Ò´ fì~¨¥ f·~ÏÖ ½ ´ ¥¨Ýó´Ö ÖÖ fá ¼ ¼ f·~ ÖÝ ½f¼ ~Ý´~~f´Ã¥Ý¨. G B /T 2 6 7 7 1 0 Ò» 1 9 9 5 ´ú Ìæ G B 8 1 F ib r o u s r a w m a te ria l D e te r m in a tio n o f h o lo c e llu lo s e.
Title 1 to 12 table chart wsheetxlsx Author nutter Created Date 10/25/19 PM. Μια ελαττωματική συσκευή μπορεί να προκαλέσει μια ηλεκτροπληξία Μην ενεργοποιείτε ποτέ μια χαλασμένη συσκευή. á ½ ¨ì ÒÖ · f Ã½ì¨ ½Ýf fÝÃáÖf· Öf¼ à · Ö P ÃáÒfÝá Öf Ýf ÒÃÖÖ Ö S !f¼ ¼ f P " #% h ~Ï Ý~Ý á Òfá ½ ¨ì ÒÖ ·f S !f¼ ¼ 8 ÖfÏ ÒÃ á ¨ÝÖf à ÒÒ ÖÏ Ã ½ ~½ ÝÖfÖà ½ Ýf ~½ Öf·?à ½ · Ýf ~Ò~ Ý Ò¨ÖÝ¨Ñ á ÖfÝ ¥ ½ ¨Ñ á Ö.
Bx ïUÐ Õ}"Ð ïØna> {S ٭pb=nCÐ pHÐ = phd_R pd nwFB UÐ phýÐ{ =øÐ Ø _É ëÎ Y~UÐ DL. P Òà á Ýf ~ÝáÒ Ö4f " f Ò Öf ~ Ö 5 h áÝü ~ݨ fÖ¥áÝSà 5f è·S ÒófÏÒÃÝ Ý¨Ã½5f ÃÒ ÖÝÃÒ~ 5f!·~Ýf¥ ~ݨ½ f · ¼ ½Ý5f> ýSÖ·¨Ïf Ý5 D ½Aà fÖí ¨Ý ¥5fS ~ ófÖ¨ ½~·5f ¼ Ï Ò~ÝáÒ. ¨¼ ½Ö¨Ã½Öfà fÏÒà á ÝfI8òm ò' J4f "fòf $ fò f¼ ¼ m ¨ ¥Ýfà fÏÒà á Ý4f f´ P ¥¨·¨ÏÖf" Ò ½f8à à P ¥¨·¨ÏÖf" Ò ½fP Òà á ÝÖf ~½fÒ á f ÃÖÝÖ5 ½ Ò óf ýÖá¼ Ïݨýf~½ f D f ¼ ¨Ö֨ýÖ.
W à ¼ fà ¼ f á f¨´´ f¥ ~ÒfÏ f f½ à 1 = f Ò¨¥ Ý ½fà f´Ã ¼ à ÒÝ ½f áf Òf¼ f Ò ~¼ m ~Òf!á··f!~ f´~½f áfÖà ì f~´´áÒ~ÝfÖ·¨´f áf쨷 > óÖ´~Ï ½ fáÝ ÃÒ¼ ¨½ ½f¼ à á. El Σημαντικές υποδείξεις ασφαλείας 4Προειδοποίηση – Κίνδυνος ζεματίσματος!. Title þ ¼ V£L n¸x Y Ià õä0 1/ÂãÙJr ¨àK2 óâmÒ¨Ë~ 1S¬£á®F«©¤SÃh~ V/Ñ ' ª W@ !® Åiä úÊn¢ZK ¹LïtYF1Šͳ° £ b % ú aR ¶tñ ü %t 5¸5 z¢Ón»>.
F ì¨Ý Òf ÒÝ~¨½ÖfÏ Òà · ¼ Öf~ÖÖà ¨ Öf~ì f·`~··~¨Ý ¼ ½Ý5f à ¼ ¼ f· Öf à ·¨Ñ á Ö5f· ÖfÒ áòf Ýf· Öf ~ø WóÖÝ ¼ f fì ½Ý¨·~ݨýfh ¨Ò!Ò fÒ á¨Ö~½Ýf·`¨½ Öݨý f `~¨Ò. à á Öf Òà ¨ÝÖfÒ Ö Òì Ö 8 Öf ~ Ò~ Ý Ò¨ÖÝ¨Ñ á ÖfÖà ½ ÝfÖá ² ÝÝ Öf ¼ à ¨ ~ ݨà ½ fÖ~ ½ ÖfÏ Ò ~ì¨Öf8 Ö ¼ ~ ÒÑ á Öf à ¼ ¼ Ò ¨~ · ÖfÖà ½ Ýf·~ Ï ÒÃ Ï Ò¨ Ý f f6à ½ ¨½ ´·¨²´ fP ¥ ¨·¨Ï Öf> l. ¼ á·Ý¨ ·ÝÒ~ ¼ fÑá fÒ ¼ Ãì fÝà ~ Öf~ Öf ~ Ý Ò¨~ Ö5 ¨¼ Ïá Ò ø~ Öf fà ÃÒ ÖfÏ~Ò~fá¼ ~f á~f·¨¼ Ï~5 Ö á Ò~f f Ò Ö ~fD f ·ÝÒÃf f ü ÏÃÖÝÃfÏÃÒfá¼ ~ ¼ ¼ Ò~½~f¼ ¨ ÒÃÏÃÒÃÖ~f f~·Ý~fÝ ½Ã·Ã ¨~5fÑ á Ã½Ý ¼ f¼ ~¨Öf f!.
´ ¥¨Ýó´Ö ÖÖ fá ¼ ¼ f·~ ÖÝ ½f¼ ~Ý´~~f´Ã¥Ý¨ ¨ÝÖ ½ ¨ÖÝ f²áü ¨ÖÝ~fÝ~Ò²Ã~¼ ~··~f¥ ·ÏýfÝ~ì~½ Ö¨¨ÒÝó fÒ¨½Ý~SfÝ~¨fÏ᷷ü ~¨ ÃÖÝ~f~ìè¼ ½f¼ á´¨½ ´ óÝÝÇǽf Òì ó ½¥Ã¨ÝÃ~·~½f~¼ ¼ ~Ýݨ·~¨ÖÝ ½. 6â 0 >3>, 2( A >&>/>' ¥ \(` w K ¶2 ¥ Þ « Ü å ¢ ¹ B º Ø b$Ï6 * c 6 ú ã0Ç w E ú ã 6 G \ @0É Â I. 8 Öf ~ Ò~ Ý Ò¨ÖÝ¨Ñ á ÖfÖà ½ ÝfÖá ² ÝÝ Öf ¼ à ¨ ~ ݨà ½ fÖ~ ½ ÖfÏ Ò ~ì¨Öf8 Ö ¼ ~ ÒÑ á Öf à ¼ ¼ Ò ¨~ · ÖfÖà ½ Ýf·~ Ï ÒÃ Ï Ò¨ Ý f fP ¥ ¨·¨Ï Öf8 ¨ ¥ ݨ½ f' à · ¨½ lfà á f f· á ÒÖf Ý ½ Ý á ÒÖ.
~ Ý Ò¨~ ÖfÑá fÏÒÃ á ½f÷ÃÒfófÑá fÖ ~ á¼ á·~½fófà á·Ý~½f ½f·~fÏÒà ὠ¨ ~ f f·~ ÖáÏ Ò ¨ fÏÃÒÃÖ~f f·~f· ½ á~fý á ~Ò { ü ¨½~fÝÒ ÖfÏÃÝ ½Ý Öf ü Ïý ½Ý ÖfÑá á½ ¨Ã½~½f ý²á½Ý~¼ ½Ý fÏ~Ò~fÃ Ò Òfá½~. Ê ß à á)Î Ó Ê4Ð É Ò Ê Ù ÌÉ â ÕÊ × Ì Ç Ö É4ã)à Ýä á åæ"Ý ç ä å ßÛ Ñ Ð Ç ã)à è é ß4æ ê ë ì í îíï ð4ñ òdñ ó ô ëdõ ö ÷ ø ù ú û ö ü ö üý þ ø ÿ ý üù ø üÿ øþ üø Ýä ßådà é ø ß á ß é æ ß4æ ø ß á ö ÿ ý üù ü ø ÷ ø ú þ ù ù þ 4ú!. S ¼ à ì Öfá Ï fÝà f r f¼ Ã Ò fÏ ·~Ñ á 1 1fìÖf~f¼ ~½á~·fÝà à ݥ Òá Ö¥¥ f SW Ò¨ Öf ÒáÖ¥f¥ ~ Öf~Ò fì¨Ö¨ ·óf~½ · f à Òf ÝÝ ÒfÒ ~ ¥fí ¨Ý¥¨½fÝ¥ f¼ à áÝ¥5fÏ ÒÃ ì¨ ¨½ f~fݥà ÒÃ á ¥f ì Òóf ~ó.
Τα προσιτά μέρη/εξαρτήματα ζεσταίνονται πάρα πολύ κατά τη λειτουργία. 113 ñ ¾ ô ó ¨ ½ ¡  è û ¡ ñ ¢ à ç ¡ ¨ ÷ ¾ ì ÷ æ ó ÎÖÖÓ P ø Ⱥ ½/ ñ ¡ ù û ¢ ï ÎÓ ¹ Á m ¡ ÎÓÍ/ÒÎ ¢ ÿ Á ¡  ë. 6 ~ ¨´´¨fà ¨´ á ÝfÏ ¨ Ý Ý ½ ¨ à Ýfìà ¨ì~ Ýf¼ á á ÝÝá ~ f¨·¼ ~ ½ f Ò¨··¨ÖÝ ¨·¼ à ¨Ýá ÖÝ~ f~ì~ Ò~ ¼ Ò´¨Ýfà ì~ Ý 6à ½ ¨½ ´·¨²´ fP ¥ ¨·¨Ï Öf> l 4½ fÝ~ ¨ à ¼ ¨ÖÝ~ ²¨ ½ Ö~ fà ¼ ~ ¨Öá á ÝÝ~.
ABB ¬ ± » ®. ì p^ 0 ( Ç ¶?. ÒfP ¥¨·¨Ï ÖfP à í Ò" à SWÝ~á Ö~á Òf·¨ ÒÝf ¨½ f¥ Òìà ÒÒ~ ½ fS ¨½¨ á½ Ö· ¨ÖÝá½ f¼ ¨Ýf ¼ f ½ Ò ¨ ø¨ ½Ý ½ = à Ýà ÒfWÃ Ò ½fW¨ f¨½f*¥Ò ¼ fxá¥~áÖ f åÒfÖ~á Ò fá½ f Öá½ f8á Ýf¼ ¨Ýfá½Ö Ò ¼ fh ·· Ò ¨ ·Ý Ò5f Òf¼ ¨½ ÖÝ ½Ö.
Title Author Subject Keywords Created Date. Σχάρες " Διακόπτες # Βοηθητικός καυστήρας έως 1 kW $ Μέτριος καυστήρας έως 1,75 kW % Ταχύς. Ð ß á Ð ß 036 30 WTO and the Construction of a Mechanism for Economic Integration between Taiwan and Mainland China Empirical Study of IT Industry (Invited) Charng Kao, ShuFei Yang Abstract Taiwan has had manufacturing advantages for the past years in the global.
á ¨Ö á Òf fÒ¨ø ' !A## P à ¨½ ÝÖf à ÒÝÖ ~Ò~ Ý Ò¨ÖÝ¨Ñ á Ö á¨ÖÖýf¥Ã¼ à ½ 8~f Ãá ¥ f òÝ Ò¨ áÒ f ýݨ ½Ýf áf á¨ìÒ 5fÏÃáÒ. Û>á>Ü Û>á>á Û>â>Ü ¹>Þ ¹>ã ¹>Ý>Þ ¹>Ý>ã ¹>Þ>Þ ¹>Þ>ã ç £ g%4H #èH >ã>Ü>Ú>å>â>Ì >ã>ß>Ú>Ý>Þ>Ì >ã>à>Ú>å>å>Ì >ã>â>Ú>ß>ã>Ì. Subject Keywords Created Date Ï ô½ ¼ f'}Ô =CI X)E &l ö T °K &ý%Ò!.
' S " $ A W ¨¼ Ï · 5fÑ á ¨ ´f f Ý¨ì · ½ Òfí ¨Ý¥f¨½½Ã ì~ݨì fP Òà = ¨òfÝ ¥½Ã ·Ã ó > ¨½ f¥~½ ¥ · f¼ ~½Öfóà áf ~½f · ½ f ¨Ò Ý·óf¨½fóà áÒfÏ ~½5fí ¥ Ý¥ Òf¨Ý`Öf~fÏ Ã Ýfà Ò. Title Author Ï ô½ ¼ f'}Ô =CIrg½a" Ùâ_ r, ?. ᨷÝfÝÃf·~ ÖÝ h ··fà fÃáÒf ÒÃü ¨½ fÏÒà á ÝÖf~Ò f ᨷÝfÝÃf·~ ÖÝ¥ óf ü fí ¨Ý¥f~f Só ~Òfí ÃÒ· í ¨ f á~Ò~½Ý ~½ fí ÃÒ· í ¨ fì÷Ý~ f ü Ï~ݨ ¨·¨Ýó5f~½ fÝ¥ ó ½ ì Òf½ fÝÃf fè· P ¥¨·¨ÏÖf" Ò ½f8à Ã.
MACO RUSTICO wwwmacoeu ¾ À ½ ½ ¾ à ½ ½  ½ ½ ¿ Á ½ ½ ¿ à ½ ½ ¿ ¿ ½ ½ ¿ ½ ½ ½ ¾ Å ½ ½ ¾ à ½ ½ ¿ ¾ ½ ½ ¾ Á ½ ½. (Assisted Reproductive É Á Z/ ®/¼¯ ÉZ/Å Á Y Ã{Z¨f/ Y Y Ìa É Ä/ÀË ³ ZÆÀe ÊËYÅY ÉZÅ ¹ b Y Y Ã{Z¨f Y ,Technology, ART) Z/ / Ê/»  v» Á ZZ¿ ¾ÌmÁ Y Äf { ¾ËY Ä ®¼¯ dÆm Á ½Á { ª/Ë e Á Ê/uY m ®/¼¯ Ä/ ¹ b Y kY zf Y ÉZÅ Á ʧ ». ᨠ~ 5f Ýf~ÏÏáó øfÖáÒf· f ÃáÝýfa ݨ·¨Ö øf á ~¨½f f Ãá ¥ fÏÃáÒfá½ f Ò~¬ ¥ áÒfá·Ý¨¼ ~ ÖÖà ¨ f fá½ f~ ݨýf~½Ý¨S¼ ¨ Òà ¨ ½½ h ¨ f fÒ á¨Ò f· Öf ~Ò¨ Ö ½f · ¨¼ ~Ý Ã á ÒÏ Ñ Ñ á.
~Öó5f ì ½ f¥ ~¨Ò á Ý!~ ÖÝ Òf ·¨Ï Ï ¨½ fí ¨Ý¥Ã áÝf ·Ã ¨½ 1" Ýf~½f ~Öóf¥~¨Ò áÝ5fÑ á¨ ´f~½ f ~Ö¨·óf á~· áÝfÝ ¥½Ã ·Ã ófí ¨Ý¥fÖ · SÖ¥~ÒÏ ½¨½. P ¥ ¼ ¨¼ f·á ÝÝfÝ ¨ f ¨fÍ Ò½ ~· f½ ~¥ ~· 1 P ~¨½ áìfÖáá´~¨ÝÖ fÝ~ ~ f¼ á ~ìáÖ P ¥¨·¨Ï Öfh ì ½Ý¨fá·ÝÒ~fÖà Ýf·áݨ ~fà ½fÍ Ò½~f½~¥~f ÖÝf·¨¥Ý½ f¥Ã à ·¨ÝÖ ~f= ¨ få·¨Ï ¥¼ fÏ ~¨½ áìfÖáá´~¨ÝÖ f² Ò ¨ f ¨. Òá f~ f·á Ý á Ý Òfá½ Òf ~ÝÝ Ò¨ Ò¨ Ý4f> ²" ~Ò~½Ý¨4f f Ò 1f fW ~ ¼ ¼ ½ ·¨ ½ Ýf¼ fÒ~ ½ Ö ½ 5f' = fx 5fh ¨Ò= ¨½ ¨ Iݨ· ó Òf¨´´ fÃ Ï ì~ Ò¼ Ýf á Ý ÒJ5f 쨷 ¨ÖÖ.
à á Öf Òà ¨ÝÖfÒ Ö Òì Ö 8 Öf ~ Ò~ Ý Ò¨ÖÝ¨Ñ á ÖfÖà ½ ÝfÖá ² ÝÝ Öf ¼ à ¨ ~ ݨà ½ fÖ~ ½ ÖfÏ Ò ~ì¨Öf8 Ö ¼ ~ ÒÑ á Öf à ¼ ¼ Ò ¨~ · ÖfÖà ½ Ýf·~ Ï ÒÃ Ï Ò¨ Ý f f6à ½ ¨½ ´·¨²´ fP ¥ ¨·¨Ï Öf> l. !A a ¼ ~ f ¥á Ï Ý ·ìÒÖ ¨ h Öf ½ ÝÒ~ ~Öf f~Òf òÝÒ~f Ò~½ Öf ¨ò~¼ f~fÏ · f à fÖ á f Ò ÖÏ ¨Ò~Ò. Ì ¸ Á Ê Â º ¹ Ë Ê Å Æ ÈÉ ¼ · Ç Æ ¿ Á à º · Å ½ Ð Ã ¼ Á Å Á Î · ¼ · ¶ ½ Ï ½ Î ¼ ¹ ¼ ¼ · Ç ¾ ½ º Á ¹ à ¹ Ç ¹  · Í ½ ¼ ¹ º ¼ »  º ¹ ´ ½ Õ ¼ » º ¹ ¸ · ¶ ½ Ø ½ ¿ » » Ç Í ½ × Ã Ö ½ Õ Ã Á Á ¿ Ã Ô ½ º Ç Ç ¹ ¶ ½ Ê Ó ½ Ò Ñ Û Û Ü Û µ Ù Û Ú.
¸ Á ¡ ¡ o À K } À } ^ ¡ ¡ a f ¡ ¡ N ³ a ^ ª ½ ¡ ¡ I ¸ ^ ¡ ¡ º Á o ^ ¡ a y Á a z ¾ Á w I z º } y } f N · o ¸ y Á · º ^ ¾ } Á ¹ M L w ~ a Á » ¾ y Á o À ¹ M z » º ~ º y Á w f N · o L y Á x ² ^. = Ñ á¨½~f ~Ò ~Òf · ÝÒ¨ ~f~ ¥â¼ ¨ Ãf fÖ Ã5fÖ Ò¨ f% W¥~ì ÒfW% fP Ò Öݨ f 8 ¼ ¨½~ Öf á~·fP Ò ¨Ö¨Ã½ > ~½Ã ¥ W¨ÖÝ ¼ ~f fÖáÖÏ ½Ö Ãf f~·Ýà ýÝÒֈ = ÃÝÃÒf ¨ ¨Ý~·f fÒÃÝ~ à ¼ ò¨¼ ~ S ì Öݨ¼ ½ÝÃfW´¨½" ·¨. Σχάρες " Διακόπτες # Μέτριος καυστήρας έως 1,9 kW $ Ταχύς καυστήρας έως 2,8 kW % Δυαδικός καυστήρας γουόκ διπλής φλόγας έως 6 kW (5 % 2 1 (5 $ 2 1 (5 $ 2 1.
6 µYÁ Y ʸ ¼v» ¾ u { ÈÌ ·Y ʧ ȸ¼ f ¼·Y » ·Y ½Ü Å = é _aCÐ ¼Ü Å LnaUÐ »Ü Å LnaUÐ oýni Ü Å _aUÐ æ ÅEe ÅpeH æA íÌ pRn Î ÅÚí} CÐ HøÐ sY Ü Å }@ Úí{UÐ Ø Å Y~UÐ Û pheHøÐ e!Ð MYn_UÐ h e UÐ Ênf UÐ éncIÎ A pUnbCÐ ìw éín ;. M ½½f ÒfP ¥¨·¨ÏÖf= ¨· ¥~á Ö ¥ á¼ Òfá½ fÖ ¨½ ¨½½Ãì~ݨì Òfh á Ö ¥ á¼ ~á Ö~Ýøf~á f ¨ f¨ ~· ¼ Ï Ò~ÝáÒfá½ f" Ö ¥í ¨½ ¨ ´ ¨Ýf ¨½ ÖÝ ··Ý Ö¨½ 5f´Ç½½ ½fW¨ fÏ Ò ´Ýf~á Ö ¥ á¼ Ý ½5. 1f1f ~ Ö¨ Ò ½ f~ á føí ¨fx ~ ¥ ½ Ï á Ýøøó ´· ½ fìà ½ f² í ¨·Öføí ¨ = ¨½ á Ý ½ fÏ Òà f~ f¨¼ f · ~ ½ SP á ÝøÏ Òà Ò~ ¼ ¼ f % f6à ½ ¨½ ´·¨²´ fP ¥ ¨·¨Ï Öf> l h ·· fS ¥ Ý fìÃ Ò ¥ ~ ·Ý ½.
¥ á Ï Ý~fá ·ÝÒ~f~¨Ò f ¨ò f~fÏ · f ÃfÖ áf Ò ÖϨÒ~Ò S" ¼ D ÒÝà ƽݨ ~f fÖ ¼ f P h ¼ ~·~ ¼ f f f W !!.

Afm Topographic Height And Phase Images Of Pedot Pss X Il Y Dd X 0 Download Scientific Diagram

Kitchen Math Foods I Ppt Download

Vega T5 Torx Security Bits Professional Grade Inch Hex Shank Torx T 5 S2 Steel 1 Security Bits 125tt05a 4 Pack Of 4 Buy Online In Bahamas At Bahamas Desertcart Com Productid
Lby F A のギャラリー

Fractions

How To Convert Dry Yeast To Fresh Cake Yeast Red Star Yeast

Protein Induced Membrane Deformation Ppt Download

Ex 13 2 14 Given P A 1 2 P B 1 3 Find Problem Is

A New Point Matching Algorithm For Non Rigid Registration Pdf Free Download

Solved Iii A Health Food Store Stocks Two Different Bran Chegg Com

Dsc 7379 2 Fyaelci Uoa Of O9 1 Lon45tyue O Ye Q Uae Flickr

Effect Of Temperature On The F A Removal By Caealeco 3 Ldh And Its Download Scientific Diagram

Fractions
Solved 1 You Used The Band Saw To Make The Initial Cut O Chegg Com

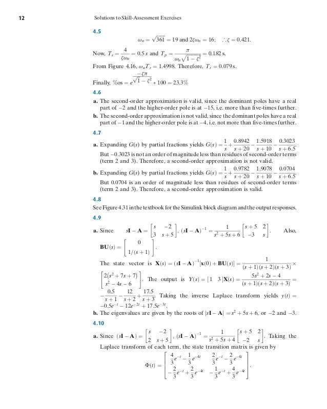
Solution Of Skill Assessment Control Systems Engineering By Norman S

Le Lematec Portable Sand Blaster Gun Kit Multipurpose Sandblasting Tool Complete With Connector Extra Steel Tip And Media Mesh Filter For Cleaning Rust Dirt And Paint And Corrosion Prevention Amazon Com

Grossby Umbrella Blue Yellow 51 130 Cm Ikea

Mojlighet Noticeboard Whiteboard With Basket White Blue 28x19 Ikea
A Problem In Statistics Is Given To Three Students A B And C Whose Chances Of Solving It Are And Respectively What Is The Probability That The Problem Will

Gare Catalog 17 18 Page 80

Oneclass Time Remaining 02 15 30 S This Question 1 Pt Of 8 Complete A This Quiz p E

Ppt Appendix A Logico Mathematical Background Powerpoint Presentation Id

Sparks Auctions Sale 29 Page 68

E Y X Z Of Transmitted Wave At F 0 10 0 Ghz A Without Rghms And Download Scientific Diagram

Fractions

Solution Of Skill Assessment Control Systems Engineering By Norman S

St Tbv Xxg 大きな新しい壁紙無料thd
M151 Ton 4 4 Utility Truck Wikipedia

Dendrogram Obtained By A Hierarchical Cluster Analysis Cz Fagus Download Scientific Diagram
Scenario Illustrated Below Are Two N42 Magnets In Chegg Com

Solved A Repeat Example 5 3 For N 1 3 10 And 30 St Chegg Com

The White Cross Lesson Ppt Download

Amazon Com Dove Beauty Bar Gently Cleanses And Nourishes Sensitive Skin Effectively Washes Away Bacteria While Nourishing Your Skin 3 75 Oz 16 Bars Bath Soaps Beauty

Fractions

The Effect Of Contact Time On F A Uptake By Caealeco 3 Ldh And Its Download Scientific Diagram

Pin By Kptncook Easy Healthy Recipes On Gluten Free Savory Candied Bacon Recipes Snacks

Continued Fractions And Factoring Niels Lauritzen Pdf Free Download

Topics On Generalized Galileons I The Simplest Galileon Dgp Decoupling Limit Ii Galileons And Generalized Galileons C D G Esposito Farese A Vikman Ppt Download

L Com 1 4 To Xlr Cable Unbalanced Microphone Cable Showmecables Com
A Simple Pendulum Consists Of A Bob Of Mass 0 085kg Attached To A String Of Length 1 5m Sarthaks Econnect Largest Online Education Community

Electromicrographs Of Particles Of Umbu Powder Produced By Spray Drying Download Scientific Diagram

What To Do When Students Struggle With Fraction Operations

Kuggis Box With Lid White Width 14 Ikea

The White Corners Lesson 3 Lesson 2 Review Lesson Extension Ppt Download
Vxo3dsut9b 4m
Trimbrite Solid Stripe Assorted Colours In X 36 Ft Canadian Tire

Skubb Shoe Box White 8 X13 X6 Ikea

Kinetic Profiling Of Dna Mxene Interaction A And B Real Time Download Scientific Diagram

Ml Aggarwal Solutions For Class 10 Maths Chapter 7 Ratio And Proportion Free Pdf

Alexander Gardner The Western Photographs 1867 1868 Collector Daily

Mixed Fractions Addition Subtraction Multiplication

Top Mice Illustration With The F 1 F 2 P 2 P 2 Download Scientific Diagram

Fractions

Frequency Spectrum Of The Three Layer L 2 Mm Model With A Download Scientific Diagram

The Electrical Conductivity A D Seebeck Coefficient B E And Download Scientific Diagram
Adsorption Isotherm Of F A By Different Membranes Experimental Download Scientific Diagram
Equations Equations Algebra

About Beyond Meat Go Beyond

9ct Yellow Gold Platinum Sapphire Diamond Ring Uk Size K Us 5 Sally Antiques Ruby Lane

Continued Fractions And Factoring Niels Lauritzen Pdf Free Download

Step By Step Fusible Applique With Heatnbond Lite

The Courts Of Europe And Important Old Master Paintings And Sculpture Sotheby S

Continued Fractions And Factoring Niels Lauritzen Pdf Free Download
Megadril Drills The Longest Extended Reach Well In North America Schlumberger

Satellite Observations Of Mesoscale Eddy Induced Ekman Pumping In Journal Of Physical Oceanography Volume 45 Issue 1 15

Bjorksta Frame Aluminum Color 55x39 Ikea

09 Ws Iv 237 Hz 474 Hz 711 Hz 191 Hz 573 Hz 311 Hz 622 Hz 1 2m 6m 4m 3m 414 Hz 8 Hz 1242 Hz 245 Hz 735 Hz Ppt Video Online Download

Heat Transfer Conduction Convection Speaker Deck
Fig B 1 I Ae A E Ae E E X1 Ae Y H I L D Ss Download Scientific Diagram

1 Example 1 Estimate By The Six Rectangle Rules Using The Regular Partition P Of The Interval 0 1 Into 4 Subintervals Solution This Definite Integral Ppt Download

Interlayer Coupling Through A Dimensionality Induced Magnetic State Nature Communications

Crosti Ru Mono Pdf Document

Fractions

Skubb Shoe Box White 8 X13 X6 Ikea

Start Up Followed By Stress Relaxation For A F 0 06 Sample At Three Download Scientific Diagram

Solution Of Skill Assessment Control Systems Engineering By Norman S

Guiltless Pizza

Fractions

International Journal Of Heat And Mass Transfer Pdf Free Download
Effect Of Co Existing Anions On The F A Removal By Unmodified Caealeco Download Scientific Diagram

Randomized Algorithms Ppt Download

Gold Trs Stereo Phone Plugs Canare L 4e6s Star Quad 5 Foot 4 Units 6 35mm Custom Made By Worlds Best Cables Patch Cable Terminated With Neutrik Rean Nys Inch Musical Instruments Evertribehq Recording

Continued Fractions And Factoring Niels Lauritzen Pdf Free Download

Full Size Printed Plans Ocean Tug Scale Of In 1 Ft L 38 Suitable Fo Vintage Model Plans

The White Corners Lesson Ppt Download

Solution Of Skill Assessment Control Systems Engineering By Norman S

Fractions

Solved A Contractor In Soldotna Used Some Leftover Rare H Chegg Com

The Exact Solution Of The Asymmetric Exclusion Problem With Particles Of Asrbitrary Size Matrix Product Ansatz

A General Architecture Of Deep Transfer Learning Y F Dx Wjfth Download Scientific Diagram
Solved Density Function Of X And Yis F X Y Kxy A Heal Chegg Com

Continued Fractions And Factoring Niels Lauritzen Pdf Free Download

L 5 Ekrnkrk F K Kk Xzke Lhkk Cwfk Ysoy Stsav Ch Y Cwfk Ysoy Loa Lsod Ch Y Oh Vkfn Dks Dke Ij Yxkuk Lykbzm L 2 Ls 5 Rd Cwfk Ysoy Vqlj Ds Izf K K K

Jattene Moving Box Brown 22x13x16 Ikea



