Xhoc Xxxa
Shop the full range of Men's Clothing and Accessories from the latest Armani Exchange collection Browse the AX official online store today.
Xhoc xxxa. Nov 25, 09 · hey nice cute question answer is 0 as there is (xx) which is =0 and every thing multiplied by 0 is 0. Nov 21, 19 · Let's consider that our x is a 4bit number(for simplicity) 1100b Then, x is 0000 1100b (its lowest set bit is at position 2 (index starts from left at 0)x is 1111 0100b as 0000 1100b 1111 0100b = 0bx & x results in 0100b The only set bit is at the same position as the rightmost bit in x at position 2. Jun 03, 08 · For the best answers, search on this site https//shorturlim/avXKY This is not strictly greater, as equality can occur for certain values of a,b,c,x,y,z (for example when they are all zero) Expanding terms, we get (x^2 y^2 z^2)(a^2 b^2 c^2) (x*a y*b z*c)^2 = (xb)^2 (xc)^2 (ya)^2 (yc)^2 (za)^2 (zb)^2 2xbya 2xcza 2yczb = (xb ya)^2 (xc za)^2.
169k Followers, 4,777 Following, 927 Posts See Instagram photos and videos from A L E X A N D R A R O A C H (@alexandraroach1). Jul 19, 18 · Normally, you perform this integral by the composition into partial fractions But you need #x=asintheta#, #=>#, #dx=a costhetad theta# #a^2x^2=a^2a^2sin^2theta=a^2cos^2theta#. Metabolic syndrome X is a multifaceted syndrome, which occurs frequently in the general population It is more common in men than in women A large segment of the adult population of industrialized countries develops the metabolic syndrome, produced by genetic, hormonal and lifestyle factors such as obesity, physical inactivity and certain nutrient excesses.
Oct 23, 10 · x=!x assigns the negated value of x to x x!=x evaluates to true if x is different from x Obviously, a value can't be different from itself, so unless x is an object that overload operator!=() in a special way, x!=x always evaluates to false x!x doesn't compile because !. XAOC 141 likes The band's history starts around the summer of 1996 with members much different than today two guitars, keyboard, bass, drums and. The Fokker CX was originally designed for the Royal Dutch East Indies Army, in order to replace the Fokker CV Like all Fokker aircraft of that time, it was of mixed construction, with wooden wing structures and a welded steel tube frame covered with aluminium plates at the front of the aircraft and with fabric at the rear.
Mar 25, · The variable x in "xx" can be replaced with any other letter (xx, aa, bb, cc all mean the same thing) and the bar in the middle can be replaced with a sign (xx is the same as xx) More From Reference A Brief History of Insults How Different Cultures Use Spoken and Written Verse to Mock and Mediate. Welcome to my channel I’m nobody and I upload Gacha videos ( GLMM, GCMV ) Hope you guys enjoy my content Umm yah ———————— Where you can find me. Sinh(x) and cosh(x) are also the unique solution of the equation f ″(x) = f (x), such that f (0) = 1, f ′(0) = 0 for the hyperbolic cosine, and f (0) = 0, f ′(0) = 1 for the hyperbolic sine Complex trigonometric definitions Hyperbolic functions may also be deduced from trigonometric functions with complex arguments.
Where b is a positive real number, and the argument x occurs as an exponent For real numbers c and d, a function of the form () = is also an exponential function, since it can be rewritten as = () As functions of a real variable, exponential functions are uniquely characterized by the fact that the growth rate of such a function (that is, its derivative) is directly proportional to the. Compute answers using Wolfram's breakthrough technology & knowledgebase, relied on by millions of students & professionals For math, science, nutrition, history. GaiaX is an international team stemming from several hundred organisations is working together to create the next generation of data infrastructure an open, transparent and secure digital ecosystem, where data and services are made available,.
Nov 11, 16 · Start by simplifying the entire expression f(x) = x/((x^2 c)/x) f(x) = x^2/(x^2 c) f'(x) = (2x(x^2 c) 2x(x^2))/(x^2 c)^2 f'(x) = (2x^3 2xc 2x^3)/(x^2. Define XC XC synonyms, XC pronunciation, XC translation, English dictionary definition of XC Abbr XC or XC adj 1 Moving or directed across open country rather than following tracks, roads, or runs a crosscountry race 2 From one side of a. Microsoft Xbox Series X (US Plug) RRT Black lowest ask $657 Last Sale $660 Apple AirPods Pro (MWP22AM/A, MWP22ZM/A) lowest ask $172 Last Sale $172 Microsoft Xbox Series S (US Plug) RRS White lowest ask $357 Last Sale $335 Hot Apparel Juice Wrld x Vlone Butterfly TShirt White.
The unique design of the Pro1 X combines a modern touchscreen smartphone with the added functionality of a full landscape physical keyboard Users can experience the best of both physical and virtual keyboards, integrated into one slim, elegant and beautifully crafted device. A x A 98 likes Gaming Video Creator Facebook is showing information to help you better understand the purpose of a Page. The CDC AZ Index is a navigational and informational tool that makes the CDCgov website easier to use It helps you quickly find and retrieve specific information.
Compute answers using Wolfram's breakthrough technology & knowledgebase, relied on by millions of students & professionals For math, science, nutrition, history. 🎧 Listen on Spotify, Apple Music and more→ https//bitly/eternvlplaylists💞 Socials, Merchandise and more→ https//bitly/eternvlsocials🔊 Check. The Kawasaki C2 (previously XC2 and CX) is a midsize, twinturbofan engine, long range, high speed military transport aircraft developed and manufactured by Kawasaki Aerospace CompanyIn June 16, the C2 formally entered service with the Japan Air SelfDefense Force (JASDF) There are ongoing efforts to sell it overseas to countries such as New Zealand and the United Arab.
Jun 27, 06 · Yahoo Answers is shutting down on 4 May 21 (Eastern Time) and, as of April 21 (Eastern Time), the Yahoo Answers website will be in readonly mode. O X A 725 likes OMMIEH x ANAKRISEZ is a Pop Duo who uses retro sounds and "hardtoforget" grooves to tell their stories OMMIEH is the Voice, ANAKRISEZ is the VocalSynth They write, they. See more of A r S h X a M a N on Facebook Log In Forgot account?.
We report the isolation of bclx, a bcl2related gene that can function as a bcl2independent regulator of programmed cell death (apoptosis) Alternative splicing results in two distinct bclx mRNAs The protein product of the larger mRNA, bclxL, is. Or Create New Account Not Now Recent Post by Page A r S h X a M a N Yesterday at 9 AM বন্ধু পাশে থাকলে পুরো দুনিয়া ই আমার. Jan 22, · #tellmewhatyoulove #NASAlies #SpaceHOAX Sometimes I fall in love with music, so I leave everything I have to do, and I turn on my software Not much new, maybe the "RollingStones" of Mars.
Is a unary operator It only accepts one operand. Title X Legislative Mandates The following legislative mandates have been part of the Title X appropriations language for each of the last several years Title X family planning services projects should include administrative, clinical, counseling, and referral services necessary to ensure adherence to these requirements. Xc definition, without coupon See more They're everywhere you turn, but can you identify the 10 types of nouns easily?.
Model X is built from the ground up as an electric vehicle, with a highstrength architecture and floormounted battery pack for incredible occupant protection and low rollover risk Every Model X includes Tesla’s latest active safety features, such as Automatic Emergency Braking, at. May 15, 18 · Clade X is a daylong pandemic tabletop exercise that simulated a series of National Security Council–convened meetings of 10 US government leaders, played by individuals prominent in the fields of national security or epidemic response Drawing from actual events, Clade X identified important policy issues and preparedness challenges that. For example, just because x = a is a simple root of Q(x) does not mean that it corresponds to a vertical asymptote In particular, if x = a is a simple root of P(x) and Q(x) the graph will have a hole at the point x = a Since a point has no size, a graph of such a function will not look any different when graphed on a calculator.
Mar 11, 21 · NanoX Imaging (NASDAQNNOX) hit the public markets last year at $ a share The stock quickly shot up to over $60, and then crashed back down to $24, then ran up to $86 Now the share price sits. X/Å/¥ 316 likes · 16 talking about this Ben10 On Hip Hop Meets Aqua Teen Hunger Force XÅ¥lien Lifeforms On Psychedelics. Free math problem solver answers your algebra, geometry, trigonometry, calculus, and statistics homework questions with stepbystep explanations, just like a math tutor.
Feb 13, 14 · The symbol x is the letter taw in early Hebrew (and in Ezekiel, a mark set “upon the foreheads” of men) and chi in Greek When Christianity came along, x came to represent a cross. Compute answers using Wolfram's breakthrough technology & knowledgebase, relied on by millions of students & professionals For math, science, nutrition, history. Mar 21, 13 · If the function is C(x)=(x*(x8))/7 then it is a parable with its lowest point at (0,0) This is where the slope is zero To the right and left of this point the slope is greater than zero and keeps increasing with increasing values of x An inflection point is where a concave up turns into a concave down or vice versa.

Cross Dehydrogenative Coupling Reactions Between Formamidic C Sp 2 H And X H X C O N Bonds Springerlink

Sex Linked Punnett Square Notes Ppt Download

Solutions Manual For Calculus For Business Economics And The Social A
Xhoc Xxxa のギャラリー

A Rare Exception To Haldane S Rule Are X Chromosomes Key To Hybrid Incompatibilities Heredity
Solved Use The Values In The Table Above To Solve For Que Chegg Com

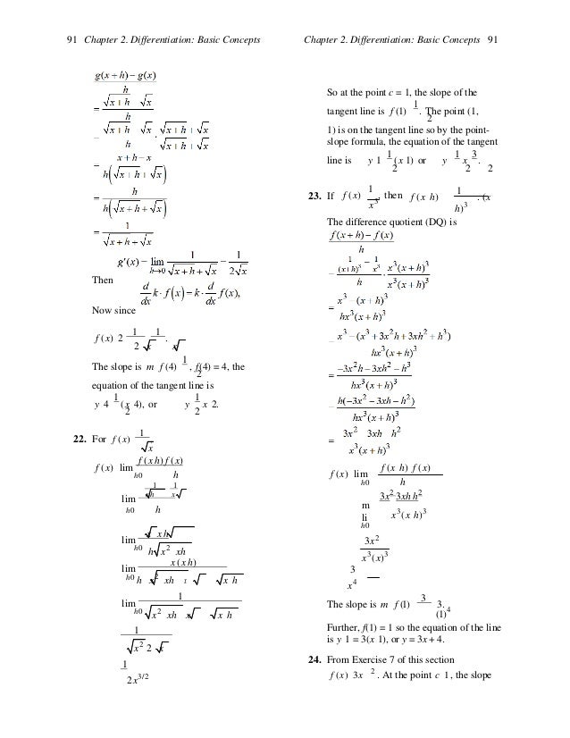
How To Develop A Numerical Differentiation Formula Using Taylor Expansion Series Mathematics Stack Exchange

Practice Questions Calculus Xii

Harmonic Oscillation An Overview Sciencedirect Topics

Inverse Of Y X 3 X Mathematics Stack Exchange

Solved Write The Given Expression In The Form F X A X H Chegg Com

Answered The Price Demand Equation And The Cost Bartleby

Fundamental Theorem Of Calculus

Biophysical Science Biophysics 270 X Ray Analyses Of Proteins And Nucleic Acids 15 I H C O C Hc O G O Ci5h31 O C17h33 O H2c O C A C17h35 O Ch3 Ch3 Hc C3h6 Ch Ch3 B H2c O C

The Nickname Sonic X Oc By Okami No Ko On Deviantart

Justification With The Mean Value Theorem Table Video Khan Academy

Use First Principles To Find The Derivative Of F X Sec X Enotes Com

Answered Which Of The Following Limits Bartleby
Tertiary Amine Directed And Involved Carbonylative Cyclizations Through Pd Cu Cocatalyzed Multiple C X X H Or N Bond Cleavage Chemical Science Rsc Publishing

이호석 Lee Ho Seok Monsta X Group Member Wonho Korean Name Finger Hearts 100 Page 6 X 9 Blank Lined Notebook Kpop Merch Journal Book For Monbebe Fandom Mafia Kpop Amazon Com Books

Annual Report Of The Commissioner Of Agriculture Agriculture New York State Lt E C H H Lt H Fe K E H W C O Era

Answered Let X Be A Random Variable Representing Bartleby
Quadratic Function Wikipedia

Introductory Set Theory Pdf Free Download

Catalysis Based On C I P Halogen Bonds Electrophilic Activation Of 2 Alkenylindoles By Cationic Halogen Bond Donors For 4 2 Cycloadditions Kuwano 19 Angewandte Chemie International Edition Wiley Online Library

Ap Calculus Ab Exam 3 Multiple Choice Section Name 2 An Equation Of The Line Tangent To The Graph Of F X X 1 2x 3 At The Point Ppt Download

Oneclass Be Sure To Answer All Parts Determine The Ph And Percent Ionization For A Hydrocyanic Acid

Hydrogen Atoms Can Be Located Accurately And Precisely By X Ray Crystallography Science Advances

Excrcises 1

Fundamental Theorem Of Calculus
What Is The Derivative Of X A X B By First Principle Quora

Solved Let F X 1 X 5 A Find The Derivative F X Chegg Com

Crystals Free Full Text The Importance Of Ch X X O P Interaction Of A New Mixed Ligand Cu Ii Coordination Polymer Structure Hirshfeld Surface And Theoretical Studies Html

If H X Fog X And H X 4 X 1 2 Find One Possibility For F X And G X Brainly Com

Symmetry Free Full Text Symmetry Analysis In Mechanistic Studies Of Nucleophilic Substitution And B Elimination Reactions Html

Latex Basic Code

Solved If F X X 2 7x Which Expression Is Equivalent Chegg Com

Answered Let F X X G X X 2 And H X Bartleby

The Set Of Points Where The Function F X Given By F X X 3 Co

Instantaneous Rates Of Change The Derivative

Symmetry Free Full Text Symmetry Analysis In Mechanistic Studies Of Nucleophilic Substitution And B Elimination Reactions Html

Theoretical Evidence For The Relevance Of N F S C X X H C O S Stereoelectronic Interactions The Journal Of Organic Chemistry X Mol

If X X X Is A Letter In The Word Set Theory Then In Roaster Form It Can Be Written As Youtube

Aspartate Asparagine B Hydroxylase A High Throughput Mass Spectrometric Assay For Discovery Of Small Molecule Inhibitors Scientific Reports
Convolution Understand The Mathematics Gaussianwaves

Solved Use The Values In The Table Below To Answer Each O Chegg Com

Unit 5 Quadratic Functions Flashcards Quizlet
Derivatives Of Inverse Trigonometric Functions
The Ratio Of Mass Percent Of C And H Of An Organic Compound C Xh Yo Z Is 6 1 Sarthaks Econnect Largest Online Education Community

Solved Let F X 1 X 6 Find The Derivative F X Fin Chegg Com
Ugcnet Dec14 Ii 05 Gate Overflow
Solved Let F X X 3 G X Yx H X X4 And J X 4x Expres Chegg Com

The Energy Diagram For The Inversion Substitution Cx 3 Br O 2 Cx Download Scientific Diagram

A Differentiable Function F Satisfying A Relation F X Y F X F Y 2xy X Y 13 X Yepsilon R And H Olim 3f H 16h 23 Then The Value

Visible Light Promoted Arene C H C X Lactonization Via Carboxylic Radical Aromatic Substitution Organic Chemistry Frontiers Rsc Publishing

Solved Find The Following Values For Each Function A F 0 Chegg Com

Solved A Find The Slope Of The Tangent Line To

Commission 22 Oc X Zoro One Piece Amino

Solved Find F X And G X Such That H X F O G X H Chegg Com

Solved Suppose That U X X Is A Letter In The English A Chegg Com
E D Definition Of Limit Wikipedia

Solved If F X X 2 2x 1 Find F X H F X H H Chegg Com

Smocking Fancy Stitches And Cross Stitch And Darned Net Designs X C Oov Xxx Xx C X Xxxf Xaxxx Axx Xb Lt B Soocxx Ovc X Xi I X Ocx Xxxx

Math Spoken Here About Quadratics 3

Impact Of Metal And Heteroatom Identities In The Hydrogenolysis Of C X Bonds X C N O S And Cl Acs Catalysis X Mol

Latex Basic Code

Train Layout 003 Bachmann Ho Ez Track Nickel Silver 4 X 8 Train Set Crazy Model Trains

Iv 054 Chapter 3 Cyclic And Convolution Codes
Solved A Circle Of Radius R Centered At The Point 0 R In The Plane Will Intersect The Y Axis At The Origin And The Point A 0 2r As Pictured Be Course Hero

Practice Makes Perfect Calculus Practice Makes Perfect Series 1 Clark William D Mccune Sandra Amazon Com
Fyhnicyudtrygm

Cross Dehydrogenative Coupling Reactions Between Formamidic C Sp 2 H And X H X C O N Bonds Springerlink

Higher Order Profiles C H O X Corresponding To The Interfaces Of Download Scientific Diagram
Cooperative Activation Of X H X H C O N Bonds By A Pt 0 Ag I Metal Only Lewis Pair Chemical Communications Rsc Publishing

If F X G X G X 2 2 H X H X 1 Where G And H Are D

Post Hoc

New Page 1
X Linked Recessive Inheritance Wikipedia

Resolve X 3 X A X B X C Into Partial Fractions Youtube

Please Help If This Is The Graph Of F X A X H K Then Oa H Lt 0 And K Lt 0 O B H Gt 0 And Brainly Com

Solved The Function H Is Given By The Equation H X X2 1 Chegg Com
1 Vytah

Dissolved Oxygen And Biochemical Oxygen Demand Analyses Prepared

What Is The General Solution Of The First Order Linear Differential Equation Math Y Ln X Y 9x X Math Quora

What Is The Integration Of Math Dfrac 1 X Math Quora

If Universal Set U X X Is A Letter In The Phrase The Mad Donkey
Question Video Finding The Derivative Of A Rational Function Using The Limit Definition Of Derivatives Nagwa

Creating An Ad Hoc Wireless Network In Os X Portswigger

Nat 3 5 Hochunk 3 X 5 Ho Chunk Tribe Flag With Heading And Grommets Hanover Flag Company

Haloform Reaction Of Methyl Ketones Master Organic Chemistry
Question Video Finding The Maximum Or Minimum Value Of A Quadratic Function Nagwa



