Rs Yv
Introduction Increasing numbers of cancer patients are being admitted to the intensive care unit (ICU), either for cancerrelated complications or treatmentassociated side effects, yet there are relatively few data concerning the epidemiology and prognosis of cancer patients admitted to general ICUs The aim of this study was to assess the characteristics of critically ill cancer.
Rs yv. Free partial derivative calculator partial differentiation solver stepbystep. Y Z \ ^ _ ` a b c d e f g h i j k l m n o p q r s t u v w x y z {} ~ ~ Y Z a b Title FV%Appication%13pdf Author LTesta Created Date 11/3/15 AM. M h Ë R ° w r S ¼ g t m M o \ } Í M p é q ;.
Nanoparticulate phospholipid bilayer disks were assembled from phospholipid and a class of amphipathic helical proteins termed membrane scaffold proteins (MSP) Several different MSPs were produced in high yield using a synthetic gene and a heterologous expression system and purified to homogeneity by a onestep purification The selfassembly process begins with a. Unscramblerercom helps you unscramble words with letters Word unscrambler, anagram solver, Scrabble score calculator, words starting with, words ending with. Vybrané slová po B, L, M, P, R, S, V, Z – PRAVIDLÁ Pripravili sme pre vás ucelený zoznam vybraných slov, ktorý vám pomôže správne určiť písanie i/y Opakované precvičovanie je cestou k osvojeniu týchto pravidiel, preto určite vyskúšajte naše pravokvízy a diktáty.
6 Letter Words We found Words with Six Letters for popular word games like Scrabble, Words with Friends, Wordscapes, Text Twist & Jumble. Word unscrambler will unscramble letters and find possible words Enter your scrambled letters and uncover the hidden words!. N ≥ 2 , given that a0 = 2 and a1 = 8 13 (N/D 11) 16 Use generating functions to solve the recurrence relation.
L e t t h e n u m b e r s U (m) ( o r m e r e l y U ) b e d e f i n e d b y t h e r e c u r r e n c e r e l a t i o n in U n 2 rnU n l U n;. GO V E R N O R ' S O F F I C E o f C R I M E C O N T R O L a n d P R E V E N T I O N F Y 2 0 2 0 D o m e s t i c V i o l e n c e ( D O M V ) Gr a n t & F a m i l y V. Question Given F(x, Y, Z) Where X = U(rst), Y = V(r, S, T) And Z = Wirs,t) At (r S 1) = (0,1,2) We Know That Fx = 1, , = 1, 8 = 2, X = 1, Y = 2 And Z = 3 Find F, When R = 0, S = 1 And 1 = 2 Question 25 Not Yet Answered Marked Out Of 100 P Flag Question Select One O A.
V R p \ R C ́A V j A ̂ ߂ɃV j A p \ R ł B T ŏ ܂ 傤 B. Above are the results of unscrambling survey Using the word generator and word unscrambler for the letters S U R V E Y, we unscrambled the letters to create a list of all the words found in Scrabble, Words with Friends, and Text Twist. 02/10/ · That Bryson Tiller's A N N I V E R S A R Y got a release right as the Northern Hemisphere was easing into autumn feels fortuitous The singer's third album, chilly and atmospheric, is readymade for cool weather and the way the seasonal shift often brings relationships to the fore;.
R ˅ ~s x > 3 ˅ x < 2 xy = 0 ˅ xy > 3 x2 = 4 ˅ y2= 9 9) Usar a regra do “Dilema Destrutivo” para deduzir a conclusão de cada um dos seguintes ternos de premissas. Title å¹´é å ¶åº¦æ ¹æ£ã ã ©ã · ï¼ æ çµ æ¡ ï¼ xlsx Author Created Date 3/11/21 PM. FACEBOOK LOGIN Recover Password Recuperar Contraseña Operated by Netzen.
05/01/19 · Remarks Using /z If you lose your connection during the copy phase (for example, if the server going offline severs the connection), it resumes after you reestablish the connection. Æ w Ð * b h t æ l h j ô ø w Ì Õ w16 w ;. Title Microsoft Word 17YM Toyota LC0 40 GXR8 AT VU9 Author Dmitriy_Segrex Created Date 10/24/16 PM.
Y V Reddy Monetary and financial sector reforms in India a practitioner™s perspective Presentation by Dr Y V Reddy, Deputy Governor of the Reserve Bank of India, at the Indian Economy Conference, Program on Comparative Economic Development (PCED) at Cornell University, Ithaca, New York, on April 19, 02. Y w t r s y v s z v v s u y ä ~ ä x. ) u r p wk h mx q j oh v r i & h q wu d o $ p h u lf d wr wk h iu r h q $ od v n d q wx q g u d wk h u h d u h q r s od f h v x q f k d u wh u h g e \ h h s y h k lf oh v $ oz d \ v z r q g h u z k d w olih z r x og e h oln h li \ r x r z q h g d h h s " ' r \ r x v h f u h wo\ v h h n.
O u r s h o p S e r v i c e R e c o v e r y V o u c h e r s T e r m s & C o n d i t i o n s 1 T h e O u r s h o p S e r v i c e R e c o v e r y V o u c h e r s. 516 Followers, 1 Following, 51 Posts See Instagram photos and videos from s y v e r s (@syversmusic). ` ó Á q06 w ;.
Unscramble Scrabble Words Word Unscrambler and Word Generator, Word Solver, and Finder for Anagram Based Games Like Scrabble, Lexolous , Anagrammer, Jumble Words, Text Twist, and Words with Friends. Y v e s L e t e r m e L e t t e r s Home Portfolio workshops Online Classes Video shop Contact Klik hier voor Nederlandse versie ADVENTURES WITH THE POINTED BRUSH A NEW ONLINE CLASS IN MAYJUNE 21 READ ALL ABOUT IT HERE Welcome Hi, I'm Yves Leterme, a. Http//cursosgratis316blogspotpe/halle el valor de verdad de la proposicion.
IUPAC ambiguity codes explained Nucleotide ambiguity code table Nomenclature for Incompletely Specified Bases in Nucleic Acid Sequences IUPAC code in chromatogram files for DNA sequence analysis/assembly. Examples To check the disk in drive D and have Windows fix errors, type chkdsk d /f If it encounters errors, chkdsk pauses and displays messagesChkdsk finishes by displaying a report that lists the status of the disk You cannot open any files on the specified drive until chkdsk finishes To check all files on a FAT disk in the current directory for noncontiguous blocks, type. ** This document consists of 19 printed pages and 1 blank page DC (SC/SW) /2 © UCLES 18 Turn over MATHEMATICS 0580/43 Paper 4 (Extended) October.
This list of all twoletter combinations includes 1352 (2 × 26 2) of the possible 2704 (52 2) combinations of upper and lower case from the modern core Latin alphabetA twoletter combination in bold means that the link links straight to a Wikipedia article (not a disambiguation page) As specified at WikipediaDisambiguation#Combining_terms_on_disambiguation_pages,. English Sight Words Vocabulario con P, R, S, T, U y V Curso de Inglés Free English LeesonsWatch More Videos** Sight Words Primeras Palabras en Inglé. 11 Differentials and the chain rule Let w= f(x;y;z) be a function of three variables Introduce a new object, called thetotal di erential df= f.
ABC Song Learn ABC Alphabet for Children Education ABC Nursery RhymesABC Alphabet Song Lyricsa b c d e f g h i j k l m n o p q r s t u v w x y z Now I k. J e r s e y V i l l a g e 124 likes · 2 talking about this Shopping & Retail Facebook is showing information to help you better understand the purpose of a Page. View Sundara Rao Y V R S’ profile on LinkedIn, the world’s largest professional community Sundara Rao has 4 jobs listed on their profile See the complete profile on LinkedIn and discover Sundara Rao’s connections and jobs at similar companies.
Engineering Mathematics 15 Using method of generating function to solve the recurrence relation an = 4an −1 − 4an − 2 4n ;. IS250 / IS350 g 摜/ i 0608 IS250/350 E&G Classics USA i ԍ yEGLEXIS01 z t @ C b V O F Z b g i F N T X F O E i \ g 摜/ i 0911 IS250/350. ` ô ø w r S b M O q ` o ;.
1nov Deze pin is ontdekt door Nubikini Ontdek (en bewaar!) je eigen pins op. Quadratic Relations in a form of y=a(xr)(xs) Quadratics relations of the form of y = a (xr) (xs) help you determine the x intercepts/zeroes/ roots. 26 linhas · The V e r s e hierarchy is a very strange hierarchy that is located beyond The Bin It is.
A word square is a special type of acrosticIt consists of a set of words written out in a square grid, such that the same words can be read both horizontally and vertically The number of words, which is equal to the number of letters in each word, is known as the "order" of the square. Anagram Solver is a tool used to help players rearrange letters to generate all the possible words from them You input the letters, and Anagram Maker gives you the edge to win Scrabble, Words With Friends, or any other word gameNo matter the length or difficulty of the word, Anagram Solver provides all available word options. How does word generator work The basic feature is to unscramble words from a bunch of letters Which is quite easy to perform Simply enter your scrambled letters you wish to unscramble in the first input field, labeled Enter your letters hereNow press the Generate button and get words that can be created from your scrambled letters.
U Q =0 , tf, 1, w here meN = { 1 , 2 , } F ind a com pact form fo r nl S(k s ft5 n) = E U k j. Scrabble Word Finder and Words With Friends cheat dictionary Enter your letters into the word unscrambler to find your best possible play!Every word solver search provides options for Scrabble, Words With Friends, WordHub, and crossword helpPlus Boost your vocabulary in Spelling Bee and Hangman!. 1) Select a file to send by clicking the "Browse" button You can then select photos, audio, video, documents or anything else you want to send The maximum file size is 500 MB 2) Click the "Start Upload" button to start uploading the file You will see the progress of the file transfer.
Its songs envelop the pushpull of romance and the mindsets that lead. 685 Followers, 660 Following, 2,4 Posts See Instagram photos and videos from Ulyverse (@ulyverse). ` y V w r S ¼ g ¢ o m ó Õ ~ y V ¼ g £ t m M o \ } Í.
Verbs Start R S T V Y End Er Jumbled Words Spanish Worksheet
V D7 Home Facebook

Diverse Yv 1x0 8 1 4 Rs Sw Sp 100 Yv 1x0 8 1 4 Rs Sw Elektro4000 De Elektroartikel Online Shop
Rs Yv のギャラリー

Linear Control Ft M Fdt K Nm Xt

Audi Sport Quattro Rs 002 Auf Den Spuren Des Gruppe S Geheimprojekts Addicted To Motorsport

Chains Sprockets Honda Cb500 R S T V W X Y 1 2 3 94 03 Heavy Duty O Ring Chain Guidohof

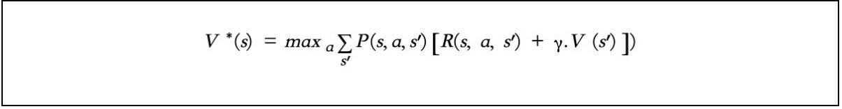
Reinforcement Learning Part 4 Optimal Policy Search With Mdp By Dan Lee Ai Theory Practice Business Medium

David Bugge Soren R Fauth Og Ole Morsing Red Syv Sind Rilke I Syv Sind Sewn Spine Book 1 Ausgabe 1 Auflage 21

Chains Sprockets Honda Cb500 R S T V W X Y 1 2 3 94 03 Heavy Duty O Ring Chain Guidohof

Solved Use The Chain Rule To Find The Indicated Partial D Chegg Com
Rs Pro Led Einbaumessgerat Fur Wechselstrom Wechselspannung Wirkleistung Scheinleistung Frequenz Rs Components

Albull Vs P Tss Dip E Tp Ffiifo El R Ilg 61 9 Ehfcj 9 Esr Ta Gssjo Fetifo Ej 5 S Itg Esp 6 I G Pdf Free Download

Rs Pro Steckernetzteil Schaltnetzteile 3 V Dc 4 5 V Dc 6 V Dc 7 5 V Dc 9 V Dc 12 V Dc 700 1600ma 9 6w Kaufen

Mean Well Rs 150 24 Led Schaltnetzteil 24 V 6 3 A 150 W Amazon De Baumarkt

Animals Alphabet R S T U V W X Y Z Letters Rhinoceros Snail Tortoise Urial Vulture Whale X Ray Fish Yak Zebra Stock Vector Adobe Stock
Sy Ip Ho R Fulleon Symphoni 32 Ton Elektronischer Signalgeber 114db 9 28 V Dc 108mm X 110mm Rs Components

Mean Well Rs 25 5 Ac Dc Netzteilbaustein Geschlossen 5a 25w 5 V Dc A033 Voelkner Direkt Gunstiger

Generalized Policy Iteration Ruochi Ai

Eisenbahnmeistermechaniker Mikroform Pl T A Q O Ty P 8 O Platte Vs A S L Gt Yv V Jloc Yo 9 Rs Rahmen Zusatzlich Zu Den Ersten Kosten Gibt Es Eine Gewisse Schmiedewerkstatt Die Auf Einem Stahlrahmen Gespendet Werden Muss Bevor

Eltako Regensensor Wandmontage 24 V Dc Ip44 Rs Amazon De Baumarkt

Cytogenetically Cryptic Zmym2 Flt3 And Diaph1 Pdgfrb Gene Fusions In Myeloid Neoplasms With Eosinophilia Leukemia

Rs Pro Elektronischer Signalgeber 114db Rot 24 V Kaufen

Missing Glyph Not Identified By Indesign Stack Overflow

Rs Pro Magnetventil 230 V Ac Dc 2 X 3 4zoll Kaufen

Hydraulic Unit Hydraulic Pump Producer Vickers10 Rsy 30 Cm 11 Year Of Manufacture 1973 Motor Type Sign Hydraulic Unit 5 5 Kw Tank Contain 150 Liter Rated Pressure 105 Kg Cm Max Pressure
1 Vytah

De Syv Gode Vanene The 7 Habits Of Highly Effective People Horbuch Download Von Stephen Covey Audible De Gelesen Von Trond Heien

Convert Words To Pig Latin Python Geek Tech Stuff
Rofin Sinar Laserbeschriftungssystem Rsy 60 Q Rs Marker Power Line Rsm 60 Q Amikon Shop De An Und Verkauf Von Gebrauchter Industrieelektonik

Solved Questions 16 And 18 List The Elements In The Set Chegg Com

Grass Letters Q R S T U V W X Y Z Isolated O A White Stock Photo Alamy

Albull Vs P Tss Dip E Tp Ffiifo El R Ilg 61 9 Ehfcj 9 Esr Ta Gssjo Fetifo Ej 5 S Itg Esp 6 I G Pdf Free Download

Suiza Umschlag Yv 28 29 1859 15 R Rosa Bogenrand Kurz Und Naranja Genf Ebay

Solved Let U Q R S T U V W X Y Z A Q S Chegg Com

Relational Database Systems 3 Ppt Download

10 Rupees Butterfly Error Note Of Y V Reddy

Solved Question 7 Let U Q R S T U V W X Y Z A Chegg Com

Fur Mehr Speicherplatz Die Besten Kostenlosen Cleaner Apps Fur Android 21 Computerwoche De

Honda 650 Xr L P R S T V W X Y 1 2 3 4 5 6 7 8 9 93 09 Front Sprocket 17 32
Fa Syv Gode Vaner Af Stephen R Covey Som Haeftet Bog Pa Dansk

Niedlichen Tier Alphabet R S T U V W X Y Z Buchstaben Waschbar Eichhornchen Tarsier Urial Vampir Fledermaus Wolf Rontgen Fisch Yak Zebra Alphabet Design Im Retro Stil Lizenzfrei Nutzbare Vektorgrafiken Clip Arts

Yamaha 85 Yz P R S T V W X Y Z A B D E F G H 5pa Esjot Gmbh

Zusammenfassung 1 Wir Betrachten Die Folgende Signatur F 0 1 Sodass 3 Wir Betrachten Die Gleichungen E 4 Dann Gilt E 1 X 1 Pdf Kostenfreier Download

Yamaha 85 Yz P R S T V W X Y Z A B D E F G H 5pa Esjot Gmbh

Variomatik Naraku Hs Racing V 2 Fur Rex Jinan Qingqi Shenke Rs 460 Amazon De Auto

Honda 750 Cb F2 N P R S T V W X Y Rc42 Esjot Gmbh
Letters R S T U V W X Y Z Vector 3d Realistic Candy Cane Alphabet Symbol In Christmas Colour New Year Letter Stock Vector Illustration Of Realistic Candy

Buchstaben R S T U V W X Y Z Vektor 3d Realistische Zuckerstange Alphabet Symbol In Weihnachten Farbe Neues Jahr Schreiben Strukturierte Grun Blau Typografie Handwerk Isoliertes Objekt Xmas Art Illustration

Yamaha 350 Yfm R S T V W X Y Raptor Usa04 09 Ritzel Vorne 13 Zahne 9
Jetski 16 Sea Doo Rxt260 Rs Mit Trailer In Niedersachsen Emlichheim Ebay Kleinanzeigen
Letters R S T U V W X Y Z Engraved Into Stone Squares Stock Images Page Everypixel

Bak De Syv Fjell Bak De Syv Fjell Depressive Illusions Records

The Stress Responsive Kinase Dyrk2 Activates Heat Shock Factor 1 Promoting Resistance To Proteotoxic Stress Cell Death Differentiation

Solved Use A Tree Diagram To Write Out The Chain

Chains Sprockets Honda Cb500 R S T V W X Y 1 2 3 94 03 Heavy Duty O Ring Chain Guidohof

Mean Well Rs 15 15 Ac Dc Netzteilbaustein Geschlossen 1 A 15 W 15 V Dc Kaufen
Syv Fjell Mur Og Flis Home Facebook

Mini Pir Bewegungsmelder Aussen Lampe Rsy 0 Pir Sensor Ip 44 2 240 V Neu Eur 14 90 Picclick De

R V Versicherung Geldern Issumer Strasse 53 55 Offnungszeiten Angebote

Hose Sport Lt Rs 1000 Schwarz Grau Lederhosen Hosen Motorrad Bekleidung Moto Ixs
Solved Let U Q R S T U V W X Y Z A Q S U Chegg Com

11 Skalarprodukt Euklidische Raume Ppt Herunterladen
Buchstaben R S T U V W X Y Z Vektor 3d Realistisch Zuckerstange Alphabet Symbol In Farbe Neujahr Weihnachtsbrief Glatt Mit Rot Blau Typografie Handwerk Isoliertes Objekt Xmas Art Illustration Stock

Vektor Illustration Von Obst Und Gemuse R S T U V W X Y Z Letters Radish Stra Wberries Tomaten Ugl I Fruchten Vanille Wasab I Xigua Yamswurzel Zucchin I Alphabet Design In Einem
Solved Let U Q R S T U V W X Y Z A Q S U W Chegg Com

Consider The Following Relations From A To B Where Br A U V

Generalized Policy Iteration Ruochi Ai

C Aper Springerlink

Honda 750 Cb F2 N P R S T V W X Y Rc42 Esjot Gmbh

Consider The Following Relations From A To B Where Br A U V
:format(jpeg):mode_rgb():quality(40)/discogs-images/R-8047944-1454150514-8373.jpeg.jpg)
Lise Fjeldstad Walt Disney S Snehvit Og De Syv Dverger 1971 Vinyl Discogs

Solved Let U Q R S T U V W X Y Z A Q S U Chegg Com

Joerg Endrullis
Pakete Rs Q3 Q3 Audi Deutschland

Motor 300w Mabuchi Rs 775wc Dc Motor 12v 14 4v 18v High Speed Strom Grosses Drehmoment Gartenwerkzeug Elektrische Bohrmaschine Motor 5mm Welle 300w Elektrische Teile Color Rs 775wc A010 14 4v Amazon De Baby

Ws Algorithmentheorie 01 Divide And Conquer Segmentschnitt Prof Dr Th Ottmann Ppt Herunterladen

Rs Pro Zeitschalter Treppenlicht Zeitschalter 0 5 Min 0 5 Long Run H 230 V Ac Kaufen
Scrabble Letter Distributions Wikipedia

A Few Questions Regarding The Difference Between Policy Iteration And Value Iteration Artificial Intelligence Stack Exchange

Chains Sprockets Honda Cb500 R S T V W X Y 1 2 3 94 03 Heavy Duty O Ring Chain Guidohof

T 85 75 No Sc R O P P Q R S And T Lie On The Circle Centre O Angle Pst 75 And Angle Qts 85 Brainly In

Honda 650 Xr L P R S T V W X Y 1 2 3 4 5 6 7 8 9 A B C D E F Esjot Gmbh

Syv Bedar Ne Pi R Von Preben Uglebjerg Bei Amazon Music Amazon De
:format(jpeg):mode_rgb():quality(90)/discogs-images/R-11665880-1520291677-7833.jpeg.jpg)
Odd Borretzen Lars Martin Myhre Syv Sorgelige Sanger Og Tre Triste 08 Cd Discogs

3 Yv Relational Model And Algebra 110 Database
Solved Let U Q R S T U V W X Y Z A Q S Chegg Com



