
Input A B Octal Digits See Representation Bel Chegg Com

Solved 7 A Study Used 1259 Patients Who Had Suffered A S Chegg Com

Homework 5 Solutions Introduction To Statistical Inference Stat 610 Docsity
Sa31 のギャラリー

43 12 Erik Spiekermann Ideas Erik Typography Font Shop

Xi Transfinite Xi Transfinite Plato There Are Many Beautiful Things They Are Transitory The Idea Of Beauty Is Eternal Platonists Mathematical Ppt Download

The Matched Values Of Sinusoidal Functions For A Rotating Ship Download Scientific Diagram

Bohemien Fotos E Imagenes De Stock Alamy
Sap Conversational Ai Fotos Facebook

Consistent Binocular Depth And Scene Flow With Chained Temporal Profiles Springerlink

Econometric Analysis Of Panel Data Ppt Download

Laboratory Energy Vs Angle Of Recoiling Protons For Ar O O 1 4 M Download Scientific Diagram

Philips Hp8668 00 Quick Start Guide Manualzz

A Cu O A A Cadis France
Kiramai Silver S Changer And Weapons Fandom

The Coolest Fonts You Can Use On Your Websites Slider Revolution

A Kotlin Based Introduction To Compound Components On Android Part 3 By Olaore Fouad Programming Geeks Medium

Los Annales Maritimes Et Coloniales Rv De Rv R Ro V T Fs 1 Nijxim Xro M O Oh 1 I Xr De Gt Gt Gt Lt

Symphony Distributed Hashing In A Small World Gurmeet

L1 L I T O 1 I 1 193

Remuestreo Para Muestras Estratificadas Download Scientific Diagram

Z Z N C

Pdf Partial Evaluation For Program Analysis Semantic Scholar

Rubbermaid 7818 Manual

Selective End To End Data Sharing In The Cloud Springerlink

Periodico Abc Madrid 13 03 1930 Portada Archivo Abc

Esab Dtb 250 User Manual Manualzz

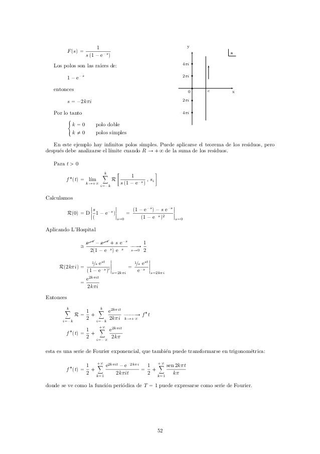
Transformada De Laplace Juan Sacerdoti

Answered 7 Let X X X Be Poisson Random Bartleby

Remote Sensing Free Full Text Hyperspectral Image Clustering With Spatially Regularized Ultrametrics

Prezentaciya Uprazhn Log

Transformada De Laplace Juan Sacerdoti
Solved 1 For A Value Of Population Parameter 0 Equal To Chegg Com

My Local Police Department Having A Little Fun R Tigerking Tiger King Murder Mayhem And Madness Know Your Meme

Silk Freelancer

Hydraulic And Photosynthetic Limitations Prevail Over Root Non Structural Carbohydrate Reserves As Drivers Of Resprouting In Two Mediterranean Oaks Resco De Dios Plant Cell Amp Environment Wiley Online Library

Blog Lenodal Com La Nouvelle Identite Visuelle De France Televisions
Page 95 贸促新观察18

Fia W 2 Sch 38 25 Rfr 4 Sch 38 38 Lfr 6 Sch 50 50 Fr Hdl 3 Sch 38 30 Tfr 5 Sch 50 50 Tfr 7 Sch 12l30 Tfr 8 Sch 13 30 Rfr 9 Pdf Free Download

28 037 Fotos E Imagenes De Stock Alamy

Applied Sciences Free Full Text A Deep Learning Based Approach For Multi Label Emotion Classification In Tweets Html

Capitulo 5 Metodo De Montecarlo Ppt Descargar
English Farsi Phrasebook With Useful Wordlist Studocu

Ml Iap 280a2 Specific T Cells Recognize Ss56 55a64 A Specificity Download Scientific Diagram

Pdf Testing Capital Accumulation Driven Growth Models In A Multiple Regime Framework Evidence From South Africa Semantic Scholar

Practica Profesional Supervisada Pdf Free Download

Robust Boosting For Regression Problems Sciencedirect

Wilfred Muchui A K A Daddy Whale Radiomaisha Mate Tongola Deejaypatiz Only 40 Minutes Into The Hour Na Tushafka Number 4 Reggaesplash

Solved A Assume N Observations From Iid White Noise Us Chegg Com

5 Aplicaciones De Ed De Segundo Orden Pdf Descargar Libre

Typography Kalie Ho S Portfolio

Manufacturer Remanufacturing Vs Supplier Remanufacturing In A Closed Loop Supply Chain Topic Of Research Paper In Economics And Business Download Scholarly Article Pdf And Read For Free On Cyberleninka Open Science Hub

W O R K W O R K

O1 Fotos E Imagenes De Stock Alamy

Tecnica De Topografia De Rayos X Berg Barrett Caracteristicas Y Aplicaciones Pdf Descargar Libre

Calameo Examen Pc Option Sp

Sivia Fotos E Imagenes De Stock Alamy

Calameo Thebac Blogspot Com Bac Mathematiques Mt 151

Solved Question 3 6 Pts O And O Are Two Estimators Of A Chegg Com
Fondo Documental Foro

Tji Fotos E Imagenes De Stock Pagina 7 Alamy

Long Term Mc Cultures Of Hes 3 Propagated In Mtesr O 1 On Download Scientific Diagram

Sensors Free Full Text The Influence Of Random Element Displacement On Doa Estimates Obtained With Khatri Rao Root Music

最も人気のある Z Tbv Fbx 大きな新しい壁紙無料xhd

Descriptive Statistics For Daily Returns On Sp 500 Ftse 100 German Download Table
Page 38 23期

Ni Vu Fotos E Imagenes De Stock Alamy

Revising The Measurement Process In The Variational Quantum Eigensolver Is It Possible To Reduce The Number Of Separately Measured Operators Chemical Science Rsc Publishing Doi 10 1039 C8sck

Classical Classifier Combination Techniques Voting Approaches Borda Counts And Behavior Knowledge Space By Mahmoud Albardan Towards Data Science

Optimal Parameter Values And Corresponding Predition Errors Computed Download Table

Web Performance Fonts Dev Community

Solved Your Broker Offers To Sell You Some Shares Of Bahn Chegg Com

The Matched Values Of Sinusoidal Functions For A Rotating Ship Download Scientific Diagram

Estimation Of Switched Linear Models Springerlink

A Current Sensorless Power Factor Correction Control For Led Lamp Driver Topic Of Research Paper In Electrical Engineering Electronic Engineering Information Engineering Download Scholarly Article Pdf And Read For Free On

Morphometrics Of Isolated Schistocerca Gregaria Normal Strain Download Table



