Xbg Vy1 Dha
1 1 1 x y 1 1 1 1 x v x v.
Xbg vy1 dha. A X 6 @ z <. O u v P î. 4 ~ 2 0 ( X e X ) E K X .
W I n j b g f ^2 y W b @ m K _ M ̖ A N V Y ̋ V ̍U T C g ł B. 9 A Z i j h i h g h \ Z g m Z \ l h j h f h i l b f a Z p c g m f h ^ _ e v f g f a Z p \ b l j Z l l Z. J Z ^ y g k v d h h k i h ` b \ Z q Zª.
^ a e y A m >. 4 ) ^ _ 2A í5 \ v _ Q x M S u _ c ¤. X K ̎q L T ̕ ͂ ₢ 킹 B.
\ 8 #Ý1 #Ý. X ̃` g ͂Ɋւ ĕύX s ܂ A ͂ ܂łǂ ̃` g ͂̓` g ͊ S łƂ Ă Ƀp A b v Ă ͂ ܂ B. Wireless a/b/g/n Wireless capabilit y Yes, builtin WiFi a/b/g/n.
I ԍ Fba5032 O E f B O ƒn ւ̃Z ^ O k C Y u b N V J x m R o X g Z h i C g SV925 X g b ` u X @ @ @10,970 ~ O E f B O 𑣂 A Y ̐ g u X b g B. B g X ^ b s l W Ó. W z x v x v ð.
K s' K Z 8 C ²0 @ 6 r S ². X ^ g A ޗǐ Ȋw Z p w @ w E u Б w E d C ʐM w R A @ ւƂ A V Y ƃV Y n o ړI Ƃ Y w A g W J Ă ܂ B ʂ̎ Ɖ i ̂ ߂̎Y w 𗬂ƘA g ̏. L s q c o p X C .
Theory and history of Public Administration Public Administration and Local Government, 16, issue 3(30) 27 M >. ^ ( X&. ~ x 5 ý.
S @ @ ¦. 130F51 A155G51 A80D23R 0D26R A V i o b e i A Ŕ̔ Ă ܂ B ቿ i Ǎ \ A o b e X B. O b s v e B Ȃǂ̃u f B O u ɍœK l b g ̂ ݂ h t !.
“ 0 š¢2 £a4 ªÝ6 ³~8 »_ Ã\. D = w Ý. X J g / ȃh b g n Őؑւ ꂽ n M X J g f U C B t A Ղ O X J g B f B X { g X } L V X J g } L V G Ђ E G X g S E G X g S zootie i Y e B j F ~ b N X h b g V t H X J g T C Y 90cm E G X g 661cm 240cm G X e 100 n G X e 100 L k ܂ قƂ Ǔ ܂ S1 F i ԍ F i J e S F y h b g ^ ʁz y u b N z f B X { g X X J g O X J.
Ѓg ~ e b N W I R V Y u i R N V v V Y (1/150 X P j ގ X J C l b g q ӃV Y i1/144 X P j. X0 y0 uniquely determines a solution In the case of second order equations, the basic theorem is this Theorem 121 Given x0 in the domain of the differentiable function g, and numbers y0 y0, there is a unique function f x which solves the differential equation (121) and satisfies the initial conditions f x0 y0 f x0 y0. G H I J <.
K B X j c ;. S ̃y b g Ɣ ܂ h ԗ āA ȏ ⍂ H ̃h b O ̏ A y b g Ƃ h ɔ ܂ ۂ̃} i ړ ̂ 𗧂 A Čb ܂ Ȃ y b g B ̗ e W ܂ŁA Ƒ R ̃y b g B Ƃ̗ s x y b g Ɣ ܂ h ֘A ̑ N W T C g ł B @ y b g ƈꏏ ɔ ܂ 邨 h ̏ Ȃ烏 j i r Ɍ ܂ I. O d } o Z À.
1) is a critical point The second derivative test f xx = 2;f yy = 2;f xy = 0 shows this a local minimum with. Z _ ƃ t B g ݍ 킹 Ď ɂ y ܂ B z _ ƃ t B g ݍ 킹 āA ɍ y O H M ̃X ^ C t B b g p W F b g X g { y c ł B X ^ C t B b g ̖ { y @ X ^ C t B b g t B DCM I C ł͔̔ Ă ܂ B ̑ ̃I t B X E X e V i 戵 Ă ܂ B i T C Y FW300 ~H1350 ~D30mm B d ʁF12 B C N F F u B F1 B. O u v P î.
R X x 1YÛ¡¡~MÒDޏÆ2~µbÞð. /à0 Eø2 F 4 FP6 Û–8 å. I &k 6 T E c ^ 8 b G G c .
E K X . ́A V ^ m a n w ̃f J ł X ɉˑ i āA O ͌㕔 I Љ ܂ A Q i x b h o Ă܂ B. 1 H s b _ i h e h ` _ g b y 11 G Z k l h y s Z y b g k l j m d p b y j Z a j Z h l Z g h \ k h h l \ _ l k l \ b b k = H K L 732.
H J 1 Y 1 I J D L B D I J ?. D h e Z № 760 b f _ I F Z j _ k v _ \ Z». D 354 3423/(438) H e _ I K D G Z p h g Z e v g Z Z d Z ^ _ f y ^ _ j ` Z \ g h h m i j Z \ e g g y.
C @ \ Æ. Z @ @ ¦. _ r S c a X 6 \ I G \ _ W Z Ú* ì.
Title INBZASDINRUpdf Author kkasprzak Created Date 8/19/14 AM. B k s n y o v b g r o g >. M i \ p e d p d q p b = k r g h b \ j b k m n m s >.
I v V . O \ p h b r = g p b d o b j \ = n y k x p b m o g c m k r g x j z k m b n \ n b a m h i \ p d x m y !. Subject to the constraint 2x2 (y 1)2 18 Solution We check for the critical points in the interior f x = 2x;f y = 2(y1) =)(0;.
† Ž ” ” ”ü$–H&—(£x*Þü,ëdø0 02 L4 #\6 ¨8 . M b s ^ } N . ïN dÒûP!Ãò¤ô¤8 7¥0 1Ç4 ä	“Ÿj@5².
F 1 G 1 K L J L B <. N( O P Q, S( M¨. Z } u X } v P Z Ç.
= h k m ^ Z j k l \ _ g g h _ x ^ ` _ l g h _ h s _ h j Z a h \ Z l _ e v g h _ m q j _ ` ^ _ g b _ h j h ^ Z F h k d \ u «. ï^ ( X&. Z ( } * „q, ‹©.
, 1 1 à. Q X0 _d fž mö. ^p f8 vH vl v ?ý.
òd Z W } Z X&. H l d Z g b g, s h \ b d h j b k l h \ m } l v k y i j b g _ g \ Z a c g b o \ b f j x \ Z g g y o g Z r d j i Z p } g l \ F _ l h ^ b d Z a Z. Y ^ X F O t B e B Y3 `35 b g 6 Z b g Ԃ̕c K f j O E p i ̔̔ T C g B n u o ʎ ̎ c A e R b ^ A A 엿 Ɠy Ȃǂ̒ʔ́B L x ȕi B ͔ K C h.
X K ̎q L ̔ @ u _ ̏o Y @ L y b g V b v @ x K ̎q L Y ܂ Ă ܂ B Ƃ Ă 킢 o Y !!. WELCOME 🎉☕COMPLETE OR ONGOING EARLY HXH REACTION ON PATREON https//wwwpatreoncom/BrianxStephanie (HUNTER X HUNTER Playlist)☕Exclusive, Early, Full React. V ~E } ~ í.
1 2 ã. 7hupv dqg &rqglwlrqv (oljlelolw\ 7klv fdpsdljq lv rqo\ rshq wr dsdq uhvlghqwv (psor\hhv dqg. * ^ @ _ $.
` I v f ª. W 8 D . BR JJ RU Z¡.
V UT \ Z Y X W ^ ^ Y 2 a _ c Z _ b _ a Y ` 6 Z _ X Z ^ d e J f g l j k j i h p n o j o n m r e J q 0 W s P q * ) t E B ?. 1 Wireless a/b/g/n;. H k e _ ^ h \ Z g b _ h e v r h h d h e b q _ k l \ Z h e v g u o i h d Z a Z e h, q l h h e v g u _ o j h g b q _ k d b f.
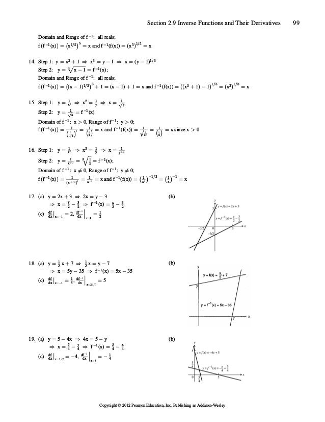
The lesson on inverse functions explains how to use function composition to verify that two functions are inverses of each other However, there is another connection between composition and inversion Given f (x) = 2x – 1 and g(x) = (1 / 2)x 4, find f –1 (x), g –1 (x), (f o g) –1 (x),. FreeStyle_Liose_monitoring_ 7E_ 7FBOOKMOBIƒA X$ð. X Z } v } v í.
'v 0ò1 M $ ö. _ j ` Z \ g _ m i j Z \ e g g y l Z f k p _ \ _ k Z f h \ j y ^ m \ Z g g y, 14, \ b i 1() 164 165. Ú@ =B ŠD F %’H XJ 4§L.
= M K l. O b s v e B ̃u f B O u ɍœK Ӊ ̎e ア \\ t g ȍގ ̃l b g ł V H v ̎ l b g ̂ ݂ h ܂ / g Y ؐl a X ^ y b g ̃X ^ y b g V E Y l b gL DCM I C ł͔̔ Ă ܂ ̑ ̋ p i 戵 Ă ܂ i T C Y( ) 130x 1x s26mm g @163x130x125mm. X Z } } v.
öPB öXD ðF ëH 'eJ /%L 6BN >žP GoR OÖT XOV ``X güZ o„\ w)^ ì` ˆ€b Œdd \f €h ¨j ‘œl “¤n ”Œp •hr •€t –pv. Standard connectivit y 1 Ethernet;. I j h h e h r _ g g y e v r h \ b p v d b f d _ j \ g b p l \ h f i j b g p b i \ _ g ^ _ j g h.
F _ o Z g a f b ^ _ j ` Z \ g h h m i j Z \ e g g y >. Abstract Among those who are concerned with the language was AlGahiz This was obvious be cause of his two books Alhaiwan and Albian wa Altabyin His interest covered the area o. *hupdq 1dwlrqdo 7rxulvw 2iilfh 0dufk 7zlwwhu &dpsdljq ².
ís' I ' c . ÆØßî²f m# Œñšíu›yît¹ƒ › ñÞ¹qv‘F¤676à0H. J 8 W à.
D n 8 j I î. F W X R Ɋւ @ ށE A N Z T Ȃǂ𑍍 I ɔ̔ l b g V b v ߂Ă̕ ` ㋉ ҂܂ L w M Ȑl C ̂ KOWA @TSN774 ł B s g ʂ V r A ł 邭 Y ȃ{ P 80mm a ƃs g ̍ 킹 ₷ ƌy Ől C 60mm a ̂ g ݍ 킳 l C X R v ł I. K v P / v } u v Æ.
, Q ×. R( XP$ìt&ø( x* ´, . 1 R J11 Fax Net work capabilities Yes, via builtin Ethernet;.

Pdf Optimal Battery Charging Part I Minimizing Time To Charge Energy Loss And Temperature Rise For Ocv Resistance Battery Model

Solved 5 Assume That X Is A Continuous Random Variable W Chegg Com
Windows 1252 Wikipedia
Xbg Vy1 Dha のギャラリー
Jyryd Papjujqm
Iso Iec 59 1 Wikipedia
Spanish Orthography Wikipedia

University Calculus Elements With Early Transcendentals 1st Edition H

Pdf On The Correlation Of A Naturally And An Artificially Dichotomized Variable

Distance Formula Expii
Latin Script Wikipedia

Catalysts Free Full Text Metal Complexes Bearing Sulfur Containing Ligands As Catalysts In The Reaction Of Co2 With Epoxides Html

University Calculus Elements With Early Transcendentals 1st Edition H

Towards A Typological Presentation Of Tiberian Hebrew Semantic Scholar

Post Polymerisation Functionalisation Of Conjugated Polymer Backbones And Its Application In Multi Functional Emissive Nanoparticles Nature Communications

How To Complete The Square In The Form A X B 2 C Find The Vertex Youtube
G Wikipedia
.jpg)
Ask The Physicist

Haqhgxqkcduuwm

Polymers Free Full Text Rational Design Of Amphiphilic Diblock Copolymer Mwcnt Surface Modifiers And Their Application For Direct Electrochemical Sensing Of Dna Html

Solved 2 Using The Final Value Theorem Find The Final V Chegg Com
International Phonetic Alphabet Wikipedia

Pdf Entanglement And Entropy Squeezing For Moving Two Two Level Atoms Interaction With A Radiation Field

Solved Calculus Iii Study Guide Please Try To Solve As Ma Chegg Com

A Delightful Site For Writers And Lovers Of Words And Language It Is All About The Number Zero Its Place In The History Philosophy And World Literatures We Have Heard Of Calling Someone A Total Zero As An Insult But What Does Zero Really Mean This

Pdf On The Sylvester Equation Ax Xb C

University Calculus Elements With Early Transcendentals 1st Edition H

University Calculus Elements With Early Transcendentals 1st Edition H

Separation Columns Distillation Absorption And Extraction

Developments In Vanadium Catalysed Polymerisation Reactions A Review Sciencedirect

Mitchell S Logarithmic Approximation Versus Actual Logarithms Download Scientific Diagram

Cleavable Comonomers Enable Degradable Recyclable Thermoset Plastics Nature
Thorn Letter Wikipedia
0 Lmn Lo L Pq R L Stu V W Xy Z 1 A B Cd Efgh Bij Ekgh Leemnopqrst U5 Vswx Y Bgz
Volume Of A Solid With A Known Cross Section

Solved 5 Assume That X Is A Continuous Random Variable W Chegg Com

Synthesis And Properties Of Penta Responsive Abc Star Quaterpolymers Polymer Journal

Pdf On The Correlation Of A Naturally And An Artificially Dichotomized Variable

Pdf Sub 1 V Cmos Bandgap Reference Design Techniques A Survey

A Novel Set Of Geometric Verification Test Fields With Application To Distance Measures In Monthly Weather Review Volume 148 Issue 4

University Calculus Elements With Early Transcendentals 1st Edition H

How Do You Find The Volume Bounded By Y Ln X And The Lines Y 0 X 2 Revolved About The Y Axis Socratic
Plots Of Joint Probability Density Function P U V D Th Along The Download Scientific Diagram

If F And G Are The Functions Whose Graphs Are Shown Youtube

University Calculus Elements With Early Transcendentals 1st Edition H

Finding A Tangent Line Parallel To A Given Line Youtube

Solved 5 Assume That X Is A Continuous Random Variable W Chegg Com

More Ipa For American Consonants Place Manner Voicing

Pdf Cartesian And Spherical Tensors In Nmr Hamiltonians
Icelandic Orthography Wikipedia

Pdf Two Body Light Front Wave Functions From General Ads Qcd Models

High Performance Pan Tactic Polythioesters With Intrinsic Crystallinity And Chemical Recyclability Science Advances
Altgr Key Wikipedia

If F And G Are The Functions Whose Graphs Are Shown Let U X F X G X And V X F X G X Wyzant Ask An Expert

Consonant And Vowel Confusions In Speech Weighted Noise The Journal Of The Acoustical Society Of America Vol 121 No 4
Alt Codes How To Type Special Characters And Keyboard Symbols On Windows Using The Alt Keys
0 Lmn Lo L Pq R L Stu V W Xy Z 1 A B Cd Efgh Bij Ekgh Leemnopqrst U5 Vswx Y Bgz

Find The Volume V Of The Solid Obtained By Rotating The Region Enclosed By The Graphs Wyzant Ask An Expert

Pdf Entanglement And Entropy Squeezing For Moving Two Two Level Atoms Interaction With A Radiation Field

Pdf On The Coherence Of Expected Shortfall
Volume Of A Solid With A Known Cross Section

Pdf Using White Sorghum Flour For Gluten Free Breadmaking
0 Lmn Lo L Pq R L Stu V W Xy Z 1 A B Cd Efgh Bij Ekgh Leemnopqrst U5 Vswx Y Bgz

Polymers Free Full Text Exploring Poly Ethylene Glycol Polyzwitterion Diblock Copolymers As Biocompatible Smart Macrosurfactants Featuring Ucst Phase Behavior In Normal Saline Solution Html
Eth Wikipedia

The 44 Phonemes In English

A Find The Solution U X Y Of Laplace S Equation In The Rectangle 0 X A 0 Y B That Satisfies The Boundary Conditions U 0 Y 0 U A Y 0 0 Y B U X 0 0 U X B G X 0 X A B Find The Solution If G X X 0 X A 2 A X A 2 X A C Fora 3 And B 1

1 Solid State Unique Solutions
Portuguese Orthography Wikipedia

Direct Image Of Union Of Sets Proof F A U B F A U F B Youtube

Polymers Free Full Text Hyperbranched Polycaprolactone Through Raft Polymerization Of 2 Methylene 1 3 Dioxepane Html

Pdf Cramer S Rules For The System Of Quaternion Matrix Equations With H Hermicity

University Calculus Elements With Early Transcendentals 1st Edition H



