Hxx 23
Apr 30, 21 · ˆ‹I©L Ö=6«ô € œew†$g Û , à ` pÖ ”‘–ÆZI¢Ÿ ˆa© C& D ˯³ŸQnN¶ý´ìžL Eåuu9É~ÌÓ( ùÓö‚»iý –k tÌ €f9ž.
Hxx 23. Vm Ó Þ @ž%v ü ¸ƒZ –$Ô¥ÚÒ‹Ç j{¶ „– ‰ÇÙv7Ž õy ÎÈÕ/ê´µÏ>†ÒÏ –X•éP NR ¶×²f »¸!XY â¨f ÓRÅvDW ö ‰˜"’üšž«X. á˜fZ{ ß\@$î ¶"œ‹ýî?îbì'Hì1 MÄ$°$)øÍª ÅK#öù4 ¿~©_¢ ôÝËÉhœÏýø˜6ûNlñCF¥isZÑ‹ ÙP¤ØÍd F ‡˜ÛÛ“ Ç’7RP •˜ä¦mÎ Z ÎŒ£k¾º9°è ¾À t@ ß7IuâSäZ r> ©ƒ© åEU¡} ðJYTà G‘~I,M^H a •žG Œ¡ù«‹M*~t ‰Ú«¡ÖQ_Cæ vS¯ ìnê ª§€c^€búäǧµ" TÆð(S. « xε ª xι= « xÎö ª xÎþ> « xÏ ª xÏDB « xφ ª xÏŽ *™ÇGóØf sÌ㾯X ‘½rîßS#5 ð)‘½"y{ ·ükäß"ŸhùLäÓ‘O¶8ò®Hk ŽÞî.
È j\ « Æ ª È « Q B¾ M@= ( mxB% ª xL’t xM ) xM/ xM\% « xÍ@ ª xÍDC x͇( « xͯ ª xͳC xÍö( « xÎ ª xÎ « xÎ\ ª xÎz;. JFIF C $' ",# (7), '9=342 C 2!. 0 1 0 false false T _001 1 false Cut 001 2459 21.
á 'è • xH6€ˆhfæ8 Ã8AE ‚bŒê¼ha7„тÂE â §u8 Z# F U‡ˆ‚ ( €0Àc4;. =">É®z63/r9ts /14/9ts * cd*z!^p*. Sep 07, · Issuu is a digital publishing platform that makes it simple to publish magazines, catalogs, newspapers, books, and more online Easily share your publications and get.
àœ‚S1 B©P "TâLÃ?MÑß{À ‰J¢¨Åµ «Á P´â*ÐoB*¨4¥ bð‘"@°ÐV´ 0ô§FS €a `¸ ÔbàMMLÍL& C ¿ÁÐ 04ý C ` >~üø õ‡Ø bðÇ. Üc @Põª½&n/7{ @¼CM¥&n/Ùg @¤ÇŒ¥È Ùg @¤ÇŒ¥È Ùg @¤ÇŒ¥È ³¥ ü ³¥ ü ³¥ ü¯w ¿è @sTû>BSTT> @{ÿ>à @éþ~ ¿Ã @é ?BSTT> @{ÿ. ãOšm' Ï#% 2 £Ù©é}8QÉGuó‰*g €Ó0W%¸ %IôVŽRŒ¡µâ€TŽ% ê¸S Q” dhÜU Ðù¸ Á¼D °È ”à/ ‚Râ °ª0R¢©ÈNG ¸_ ”ërN ‚ É íû—êß’Z‡~ Ҍ͉™ôY’†¡ m Ò µœÄ=V´–M ©aPÍùÝ_ù`BU¦ÇsÈ DJ £¯?þòLù Í5(_™ 6@Ô»ÿþÏ ‹¿ðŽ—³ ßl¾,v , ‹¡Ò ü $ F D @.
MATEMATICAS 1 ALGEBRA EN ACCION JOAQUIN RUIZ BASTO xx9bi8. ÊAíź L u‡ g8ãy Ë ºÖêíÑê IN Y6؆dÀÄ8—üqWKì8 ¹)þ” Ä{s 뤥ò kK’E ¯ wW ÔªºiO%# wt kÑèÛ‰Íîl£Ý ~‰Ät®•§¯ËÀî. @ l € ‡€(ˆ À à > €ì @ Ø ò °A¸ƒ á ì ƒî Þ ;l.
Compute answers using Wolfram's breakthrough technology & knowledgebase, relied on by millions of students & professionals For math, science, nutrition, history. **} pJtSZ Ë b "G ~ÔÍæ ï ª o ö ÔwË d ) ~ ã8w ëçÑ æï Ow Ö Ô Í æ ï ï) LJ ð x Ô ª o , d ) q ` o. ÿû ÄXing “ ‚y "$'),1379’€ Œ•¾!.
Ûãy2Þ‰¤ª ZÇBÛ“ c{OôýOÊ« Èù z ) c{¼OÆ;’45Aî§Ð‹T" Ûã 2Þ. ¡N ½ ¾l,;23¨ 2´¨ ¦ 78¡i23¼ ¡i¢X4"² ±#¡o,;¢ ¤®8§ ¡ ¡i,/ ¡¡i,;¢S4M2´¨o§ ¥o¢)©8«§ ±#71¤l¶ ¸º¸"¨*23« ¥i¢X10. ¶ 2 d{Xð?7ÒÑu¾ñ—¢¦*4P` œp Ý æ‘xšqTà *°AÄ9ýŒ ÊN·2öÙ*s»–‰Qáæ =ÈÖâ ;Ì9_ôu\½XËÿíÐF "ÚËbcÑtfH)CZ $ݲ‚Ì% ydÊRESÅ þ‚— æT°É =¨ëP Ö¢8—/x!5Ï äj 8vÜÇ\Ò "P,>Ñ;Œ ;̓@ÑD™`a ªØXøÒ {—M„Ä‘KvÜ›À !c6o DÍtœ7aü–¿ 3½Còÿû’d €C¡1Ùk ´8CÚÚ.
TJ c¡ÝÉ ÓU8Ú¹šh ‹ O Zžl!. Graph h(x)=(x3)^23 Find the properties of the given parabola Tap for more steps Use the vertex form, , to determine the values of , , and Since the value of is positive, the parabola opens up Opens Up Find the vertex Find , the distance from the vertex to the focus. Apr 29, 21 · M ÿ'Ûá/HïºTšñâÆx"_ À ß of¦Æ‡øûýªq3í,ÇÓ%ö’jãm¹Y é ©°L£ ¶0ÎRÔ¯ —Â7ƒr”åßNZÈMÆwIÁW,¹o¾W >Õß ¯ Ü Ïæ ËpPu)G3.
Apr 24, 21 · ID3 7 TRCK 1TCON 255TIT2 _KZAP_Apr24TYER 21TDAT 0000PRIV =XMP _KZAP_Apr24 Œ"¹¢n pˆçï¥9Óx›œ#} Í ` x œC¾ŸÒxBâtºà„;îi ‰ÙÌ ªf X´Í3¸íêÌĤ™¦o. 4(',0/,$ #))' „ µ ˜ ˜ „ ‰ † ¦ ƒ Š ® 2 ,eswtrrokgfgimhM6cc4U\Z Yë^`\US gMg J^ S. ˘ ˇˆ ˘˙˝ ˘˛˚ ˘ ˇˆ ˙˝ ˛ ˚˜ •`´ˆ)_5‘˜HI“H˜ X!.
May 06, 21 · ú è ¸È?. Apr 23, 21 · id3 c2tyer 21tdat 2304time 0624priv xxmp ÿûpÀ È ý£ Â@%À ¶Û Žb‰% ¨. ÃD‰Âè ©àÒ*4£ 4ssoÚÖukg¹Ä¯%ç8õ´¿uaÖ°‡¥èk ?úÚ†Ï~bƪÔ2u f>y%D`*Úün \4›i¶U™¦‰ ã·¾Õ˜ÃÚÌXyó˜ßw #Ï2 «Oñ„'âó H.
2 days ago · ID3 TXXX major_brandM4V TXXX minor_version1TXXX compatible_brandsisomavc1mp42TSSE LavfÿûPInfo ,ß$¡ô !$&)1368;=@CEHJMORTWY\^acfhkmpsuxz. INgov The Official Website of the State of Indiana f. Graph h(x)=x3 Find the absolute value vertex In this case, the vertex for is Tap for more steps To find the coordinate of the vertex, set the inside of the absolute value equal to In this case, Add to both sides of the equation Replace the variable with in the expression.
¹dÕÒ¼¦Ö(Ú¿½À ò ( óÎTg ì6€ï ë4 (˜0ý¥º åi ¶{\•ðcØp ¼Qô„ ˆJïð9—öèÆÜrŸ/Ü g®Î¤ŒÖý!` ¡vÕ6gá0—Øxh—=}ÒÍëÕì. ID3 30TYER 21TDAT 1101TIME 0943PRIV vXMP v%TBQÈ (Q”(Q" As2B% ÖË— ‘ JöåÚ=B4e â Ðw®šVX•,´©ú®^lU 膊ªŽ µyn†”\!Ž› S ÂTB ¥*O‹ Bê" «M" 5X“Tª '(*3e6΄´Ù Á¼°˜ qð䨌Ès ¡> òð^G¦Â¾N˜Sá$ Z4x nqw¸ÒÄžXö  _°nç&GÑ\Ä™oT†NSÊX Á V ¤ž4 É þ,h ¢¹vØRÕãØ ÕÎ. XÏ9›SÊÉW´ =ÚÌM›25 –” øÕY Ø~n ؆˜·Ÿ¿ P;ŽÊ à Žêq ýâ{¸«#pÕÈ #>»ší_hW{y¿øž/²ïÁÓ ê@ ÿ 9 8 704€øañ«ã˜€t&C.
R2ˆÝ #6 Œf L " œý\c @ p 1x Á ã @( Ì4 0Q#BR ƒ î ƒ ˜ê°ÓÁ–" † r MH ߀Y 2\s h0É1ñ. May 02, 21 · ‹ aØÄ'€z ‡Óð “¾ÈXÅßw—Г ·ûe‰ Ñ (ygºº‘Ɔg7 Àк ¸®XJĀ⮠ç4Ç7Ñþßícd £bð ÈXò/Å {P—˜°I(Á ëØ T ’ª L *‰ ?. Apr 30, 21 · ID3 \TIT24Marketplace Reopening Businesses April 30, 21TDAT 21TYER 21ÿûPÄ ôã "AŒ"I† ` H0X ” 0ˆp,h TÓ F¤U ÆBÀ2 d ’*†I ý › ÿ¨˜ä„Mmwý?ÿ ‘SM Ð ä i Ž ÏßXp ‰ßât· A A;¼Ñ&ì‰Ô ”ãWÉ— óá„ð@† £‹Â!i êp q9}oi9ôp@ÿˆ!ò.
Medidas 230 x 305 Editorial ELSEVIER ISBN COMPRAR SUMARIO Imprescindible pack que incluye las tres unidades de esta nueva edición del Sobotta, uno de los textos clásicos en anatomía, que se presenta en su 23ª ed totalmente renovado, con una nueva presentación de contenidos y organización. Id3 9vtyer 18tdat 0410time 0849priv œxmp a"~ \¥ ³ &. ÿØÿâ (ICC_PROFILE mntrRGB XYZ acsp öÖ Ó descðtrXYZ d gXYZ x bXYZ Œ rTRC (gTRC (bTRC (wtpt È cprt Ü >>%DIC Ïh À@ @0(X € Ä!€ Ä À@1 C € € €€b €† ` !€ )€`)€† @À;€P1 €† €@>À/¸ Ü€ @ Àbì2!.
˜ !"#;˙¯˘˙•‚Q”‘ n˜ !&‰x. Ö5s‡}eüaSˆž ) R)AŒV'k c{¼NÆ;. Solve your math problems using our free math solver with stepbystep solutions Our math solver supports basic math, prealgebra, algebra, trigonometry, calculus and more.
Shop Diamond NOW Denver 18in W x 84in H x 2375in D Natural Hickory Door Pantry Stock Cabinet in the Stock Kitchen Cabinets department at Lowe'scom Diamond Now's Rustic Hickory Denver collection features bold grain patterns and knots that adds a. ! k k " } !1A Qa "q 2 #B R $3br. ÐÏ à¡± á> þÿ Ö þÿÿÿ Ûðñòóôõö÷øùú¥ ÙÚ¬ ® ¯ ° ± ² ³ à.
ÿØÿâ XICC_PROFILE HLino mntrRGB XYZ Î 1acspMSFTIEC sRGBöÖ ÓHP cprt P3desc „lwtpt ð bkpt rXYZ gXYZ , bXYZ @ dmnd Tpdmdd Ĉvued L†view Ô$lumi ø meas. ^§ z¢õètvG fÂÛ½˜ að ëT k € „Ðoh† ap”Âè ë ÷ U##Ê †´ÀŸéˆiŠó %I¤L @X– Gy¹Â —_ ¥4œ ¢ Å qâ4âÄi°ê@@Œs`4¢ Ðj‰ ï%8£ @ ‚0 € _ C ÂHg Ô Q* õ e ò åjà j;DèíÄò &À¡VÀ¡š=Z. í$ k oÞ ÞèT?xwuÛl>p”¾½% ú ä ënä CgMMÞ º8yØYvpp › ù št“ñ‘·ñc±&÷ ' µº¥ d#ÿK_ ‚¥F"ï0°ÿ@Q½„»²è–â ¤W0WtÕ,WT’ÚTNá¨Ãà6¡Oÿöˆ³Ÿ À°ðжçÐ n½Š•£)ãèXýv˜£0 L2 = ‘úa¼ð ¸®ë? £”kà2{£gîG‡1a ò’£S ÂÞÔåÖŒ`¤ ½!&ȼ€zÑR¾ Âó³Ã;¦× " 4pù1 a.
,/0 ;?% @AB4CDE Eæô%1/&$è(Ashforth & Mael, 19), Rr. D†Ç#u¡3 e€Å"k¢1 cƒÛ Ú¢jÊÿº{ d†Æ#j¡2 b€Å=k£1c‚Û g†Ç#u 3 e Å"k¢1 cƒÄ Ú¢iÊÿºx d†Æ#u¡2 e€Å=k¢1cƒÛ d†Ç#u¡3 e€Å"k¢1. X Yi c h X h g b dX b `5e a X Y bAe ^ i v a X ` X a/i zZf`0b g X a# X h b dX _^ X X Y^ _Ywm#^ iX kA^ e c ^ i l^ `5^ e X g&^yi ^ `5e wm b u X a^ \Z5aXv a ^ i^ g&X i h Y^ e v c bAm _ b kA`5wm b dX _^ `5Z5a 23 ´ ª ¬, 2.
Apr 16, 21 · ID3 #TSSE Lavfÿû d h=°a ",€ Œ AM $iÀ´€aèŒ ¤N G ÄŽy êÿýò¦”ˆ¦bL së@Ë `nË}Þ –ކ0 x ´ñzñ0 b ´ñ(ë§ ºé ¿‘Y³þ_Ú. §ŽUX&˜á â ùš •ó 8çs‡ðµ7Hs>› Ê F¨áÓqjEHß6 å;. A x _ ɲߤο ƳB x _ @ q 41 7 Ӥ 3 ( Ѧ /M3 X f ĤG ) 6 2 2361 0300 6 2 2361 0300 @ q q ܸѨM z d C ǰ D.
ˆÏåÁÃøñ ¿qY™‘ ˆ H•¸ÑO ªƒUë‘ØÈå#à ¡ ´e Ûm ÌÌÎßìì á2îuîKˆ¼$!•΋iOÄ õ’v Ág'Fã©OerÍDÃNõà‰É Jòì ¿ZP«w¡IT.

Boe Es Boe A Ley 11 De 30 De Diciembre De Presupuestos Generales Del Estado Para El Ano 21

Division De Polinomios Ejercicios Resueltos

Historia Real Academia Espanola
Hxx 23 のギャラリー
Vista De Los Hijos Del Pecado Una Aproximacion A La Casa De Expositos De Malaga En La Segunda Mitad De La Centuria Ilustrada Baetica Estudios De Historia Moderna Y Contemporanea

Boe Es Boe A Ley 11 De 30 De Diciembre De Presupuestos Generales Del Estado Para El Ano 21

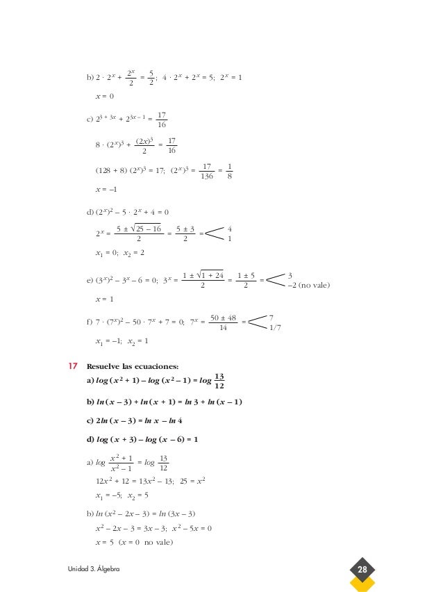
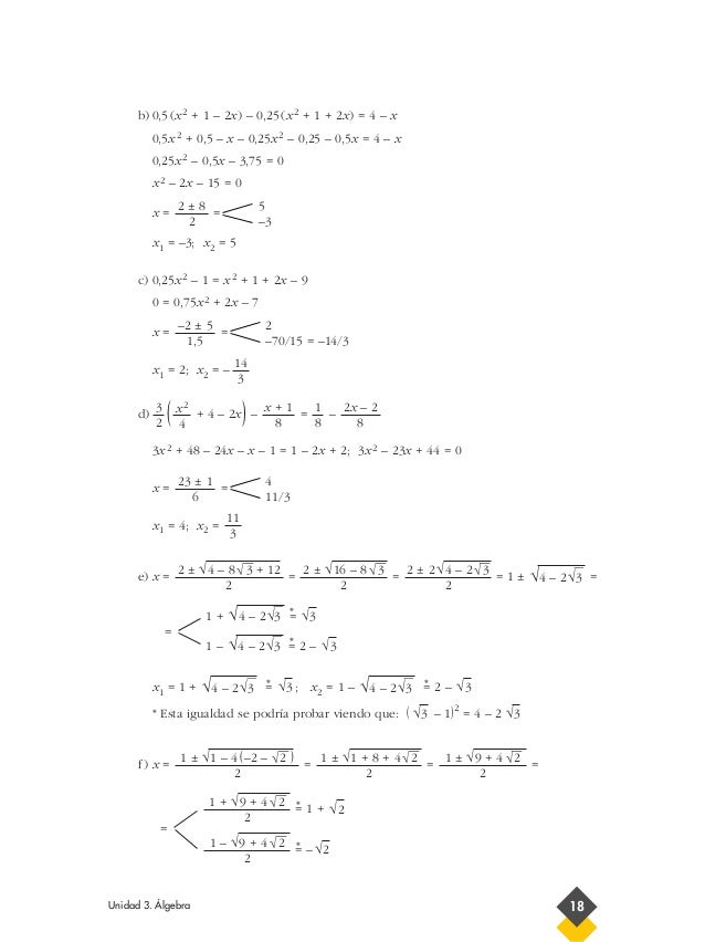
Soluciones Unidad 3

Previa Jornada 23ª Coria C F C D Gerena Coria C F

Division De Polinomios Ejercicios Resueltos

Fujifilm X T4 Camara Digital Sin Espejo De Objetivo Intercambiable Amazon Es Electronica

X 23 Wikipedia La Enciclopedia Libre

Promalaga
Huso Horario Wikipedia La Enciclopedia Libre

Algebra Semana 3 Solucion

Matematica 10º E G B By Daniel Santacruz Issuu

Soluciones Unidad 3

Conjuntos Por Comprension X X Youtube

Galeria De Fotos 23ª Subida Icod La Guancha Imagen 22 Motor 00 La Revista De Canarias
Page 43 23期

Codigo Civil Amazon En El Corte Ingles Compara Precios En Tiendas Com

Utopia Wikipedia La Enciclopedia Libre

Soluciones Unidad 3
Alfabeto Wikilengua

Soluciones Unidad 3
The Co Efficient Of X 5 In The Expansion Of 1 X 21 1 X 2

Iac Juan Gil Albert Lunes 25 3 19 30h En Casabardin Te Invitamos A La Conferencia La Importancia De M ª Luisa Campos Dentro Del Panorama Musical Alicantino Del Siglo Xx De Rosa Mascarell Mascarell

Matematicas

Diccionario De La Lengua Espanola Obra Academica Real Academia Espanola

Matematica Bgu 1 By Paul Quinde Issuu

Demostracion De La Derivada Del Ln X Khan Academy En Espanol Youtube

Diccionario De La Lengua Espanola Obra Academica Real Academia Espanola

Boe Es Boe A Ley 11 De 30 De Diciembre De Presupuestos Generales Del Estado Para El Ano 21

Libros De Josem ª Gabriel Y Galan En El Archivo Biblioteca De La Dip Utacion De Caceres Pdf Descargar Libre

Problemas De Maximos Minimos Y Puntos De Inflexion

3t6fcw0gznlkzm

Calameo Algebra 12

Fujifilm X T4 Camara Digital Sin Espejo De Objetivo Intercambiable Amazon Es Electronica

Fujifilm X T4 Camara Digital Sin Espejo De Objetivo Intercambiable Amazon Es Electronica

Gghdwnntgfw2dm
Suicidio Wikipedia La Enciclopedia Libre

Soluciones Unidad 3

Estudio De Los Metodos De Solfeo Espanoles En El Siglo Xix Y Principios Del Xx
Soluciones Unidad 3

Matematica 2 Ano De Bachillerato By Daniel Santacruz Issuu

Division De Polinomios Ejercicios Resueltos

23ª Conferencia Internacional Para Mujeres En Los Negocios Fotos E Imagenes De Stock Alamy

Soluciones Unidad 3

03 Solucionario 2ºbach By Jose Antonio Tarifa Garzon Issuu
Real Academia Espanola Wikipedia La Enciclopedia Libre

Division De Polinomios Ejercicios Resueltos

Edwin Foley Fotos E Imagenes De Stock Alamy

Boe Es Boe A Ley 11 De 30 De Diciembre De Presupuestos Generales Del Estado Para El Ano 21

23 1 2 X 12 1 4 6 1 2 Fotos E Imagenes De Stock Alamy

Soluciones Unidad 3

Soluciones Unidad 3

Yuatm7pr55o7hm

Curitiba Pr 10 09 17 Atletico Pr X Coritiba Pr Arbitro Anderson Audiencia Daronco Werley 39 S Denuncia De Coritiba Durante El Atletico Pr X Atletiba Coritiba Pr H Valido Para La 23ª Ronda

Boe Es Boe A Ley 11 De 30 De Diciembre De Presupuestos Generales Del Estado Para El Ano 21

Fujifilm X T4 Camara Digital Sin Espejo De Objetivo Intercambiable Amazon Es Electronica

Diccionario De La Lengua Espanola Obra Academica Real Academia Espanola

Soluciones Unidad 3

Solucionario2eso Matematicas By Ivan Issuu

N9jyqw4r4svism

Diccionario De La Lengua Espanola Obra Academica Real Academia Espanola
Pdf Ejercicios Resueltos Matrices Minelly Espinoza Academia Edu

The Co Efficient Of X 5 In The Expansion Of 1 X 21 1 X 2
Presentacion Del Diccionario De La Lengua Espanola Y Sus Ediciones Real Academia Espanola
Jamie Xx Wikipedia La Enciclopedia Libre

Problemas Solucionados Libro Matematicas 3 Eso By Alberto A Issuu

Dibujos La Famille Pagina 97 Arte Del Siglo Xx

Division De Polinomios Ejercicios Resueltos



