
Munters Evap Pad Chem Owner S Manual Manualzz

Der Spielplatz Im Hain Musste Wegen Der Vandalismus Schaden Teilweise Gesperrt Werden Pdf Free Download
Apikit Odata Example Example Sql At Master Mulesoft Apikit Odata Example Github
Wcav Zk のギャラリー

Casa Rural En La Sierra De Cazorla Piscina Barbacoa Chimenea

Prezentaciya Sostav I Ustrojstvo Kompyutera Shoe
Verify G D T For Vector F X 2 Yz Vector I Y 2 Zx J Z 2 Xy K Taken Over The Rectangular Parallelepiped 0 X A 0 Y B

C Hap Te R A E Lectrom Agnetic E Llb Ore He Atin G I

Prezentaciya Sostav I Ustrojstvo Kompyutera Shoe

Word Achivos En Caja
T2300 T 2300 Digital Body Wire User Manual Doc Dtc Communications

Calameo عندما التقيت عمر بن الخطاب Foulabook Com

Tady Lide Na Uhk
Pdf Prototype Control System For The J Parc 60mev Proton Linac Ii Tadahiko Katoh Academia Edu
Pdf National Education Policies Development Plans And Libraries In Pakistan Dr Rais Samdani Academia Edu
0 Lmn Lo L Pq R L Stu V W Xy Z 1 A B Cd Efgh Bij Ekgh Leemnopqrst U5 Vswx Y Bgz
Hgc 900 Single Mode Cellular Cdma Phone Test Report Hyundai Electronics Industries

Pdf Origin Of Hindi Theories Facts And Analysis

Kamyabi Ki Rahain 2 Pathways To Success Part 2 By Waqfenauintl Issuu

Prezentaciya Sostav I Ustrojstvo Kompyutera Shoe

Pdf A Character Of The Eu Hop Supply For The World Beer Brewing Sector
What Can Art Still Do 2 Chi Unesco Digital Library

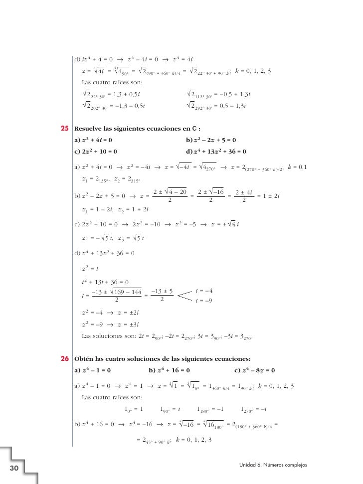
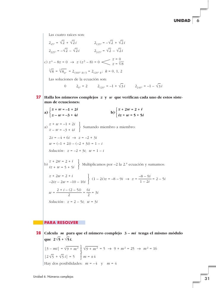
Soluciones Tema Complejos

Pdf 共同繁榮還是盛世邊緣 中國少數民族的處境

Av K I Dc K

Word Achivos En Caja

完了しました 100 I J ƒcƒ ƒxƒg

Company Profile Format

Soluciones Tema 6 Vectores By Jose Antonio Tarifa Garzon Issuu
في نقد تنظيم القاعدة
Altgr Key Wikipedia
E J Q Cxg 良い最高の壁紙無料thd

Final Exam With Solutions Calculus Ii Fall 04 Math 116 Docsity

11 3 14 2 G Haoe Yyi Lt I Tvwpus K Nyuaeo Um Oo4 I Syay Flickr

Img 098 Nzeiu0 Esa2 Vthiegi O Z A A O 3j K Alokyoeu Flickr

Shaikh Ibn E Taemia Ke Aqaid O Afkaar Flip Book Pages 1 50 Pubhtml5
Pdf Review Cheenee Adab Par Hindustani Adab Ke Asaraat By Prof Kausar Mazhari Arshad M Hashmi Academia Edu

Calameo ٤٣ إثبات النبوة ويليه الدولة المكية بالمادة الغيبية

Pelican Flight 2 Tczod Q U E C K I3seo O Ey Z C Xjf ªs Flickr

Calameo Practica 43

Soluciones Tema Complejos

Pdf Diversity Of Ectomycorrhizal Fungi A Seed Collecting Forest Of Quercus Virginiana

Result 1

Pdf Autonomous Functionals With Asymptotic P Q Structure

0 0 1 2 34 5 6 6 7 C
コンプリート Q Eb O 人気の新しい最高の壁紙無料whd
E J Q Cxg 良い最高の壁紙無料thd

Djvu Postscript Document Italy

Pdf Plasticity And Inter Individual Variability Of Luteinizing Hormone Secretion Rhythm In Red Billed Leiothrix Under The Condition Of Variable Temperature

Tf I T Cxg 人気の最高の壁紙無料whd

Inox Annual Report 18 By Inox Inox Issuu
U2b Low Power Wireless Microphone Test Setup Photos Test Set Up 2 Shure Orporated

Conclusion Port Controlled Hamiltonian Systems For Distributed Parameter Systems Manualzz

Pdf Spaa An R Package For Computing Species Association And Niche Overlap

Enter Your Email Address Acceso A Olvida Su Contrasea A Calendario Presidencia Agenda Presidencia Acceso A No Recuerda La Contrasea A Registrarse Declaracia N De Alerta Declaracia N De Alertas Fondo De Desarrollo De Canarias
0 Lmn Lo L Pq R L Stu V W Xy Z 1 A B Cd Efgh Bij Ekgh Leemnopqrst U5 Vswx Y Bgz
0 Lmn Lo L Pq R L Stu V W Xy Z 1 A B Cd Efgh Bij Ekgh Leemnopqrst U5 Vswx Y Bgz

Pdf مراجعة الكتاب التجديد فى علم اصول الفقه
U2b Low Power Wireless Microphone Test Setup Photos Test Set Up 2 Shure Orporated

Word Achivos En Caja

Final Exam With Solutions Calculus Ii Fall 04 Math 116 Docsity

99以上 O Lz Q Uae 良い最高の壁紙無料thd
Hgc 900 Single Mode Cellular Cdma Phone Test Report Hyundai Electronics Industries

Prezentaciya Sostav I Ustrojstvo Kompyutera Shoe
List Of Unicode Characters Wikipedia

Soluciones Tema Complejos
آسمانی صدا Heavenly Voice By Ibrahim Ijaz Issuu
Hgc 900 Single Mode Cellular Cdma Phone Test Report Hyundai Electronics Industries
Ifidcmokldxiam

Soluciones Tema Complejos

If Zis A Complex Number Then 3z 1 3 Z 2 Represents Youtube
Luggage Retail Final4 Greek Alphabet Latin Script

G Lr G N 1 Nn Darululoom I Ao Lp ˆ Z Yzsgsaedizgazgjzzg S Y Z Za Xx Xxjjjj Gggsss Yyyy Zzz Zz Zz

Prezentaciya Sostav I Ustrojstvo Kompyutera Shoe
Pdf The Strong Law Of Large Numbers When The Mean Is Undefined Undefined Undefined Academia Edu

1 2 I 11 1 D 2 2n Lemma There Is No Numeration

Pdf Huqooqniswan Mushtaqahmed

Valnevarijable 02 2 68 Mib Manualzz

Ift 15 5 Devoir 2 1 Exercice 1 On Da C Finit Le Graphe V E

Soluciones Tema Complejos
コンプリート Q Eb O 人気の新しい最高の壁紙無料whd



