Pcgxyh Nj Sx
A n d w ith y b e in g th e c o e ffic ie n ts in (3 3) a fte r th e y h a v e n j b e e n re a rra n g e d in th e fo rm (3 4 ) N o w , w e m a y a lso in tro d u c e a p a ra m e te r ZQL su c h th a t I Z a x j < f , a n d m a y th u s s ta rt w ith th e fo rm 0 0 0 0.
Pcgxyh nj sx. ³ ¨ U ó î ¶ É h R ÿ 1 ' h 4 ³ õ s ® ¶ Ò Y C ö t Ù ¼ m ¥ q 4 B$,3 C. Simple and best practice solution for Y=g(x) equation Check how easy it is, and learn it for the future Our solution is simple, and easy to understand,. Å Æ Ç È É Ê Ë Ì Í Î Ï Ð Ñ Ò Ó Ô Õ Ç Ð Ô Ï È Ñ Ö Î × Ë Í Ø Æ Õ Ù É Ú Û Ê × Ñ Æ Ô Ì Ü Ý Î Ø Ê È É Þ Ù Ð Ç Ï Å ß à á â Ó Ê Í ã Æ Ð Ï Î Ë ä Ò å Ö.
P W ֒ u ߂̃G X @ w V Y P x @ i J / J C } N j iGS j v i v r @( 0059/ 0102). Jul 05, 14 · Is it possible to convert a general linear second order boundary value ode y'' P(x)y' Q(x)y = g(x), y(a) = y_a, y(b) = y_b to a Fredholm integral equation, explicitly determining the Kernel in the process, without removing the y' term?. Answer to curve c Evaluate G(x, y) dx, G(x, y) dy, and JC JC G(x, y) = 3x2 9y2;.
Kate spade new york b P C g X y h j N ̍ z/ i p v / F n j w 邱 Ƃ ł ܂ B ZOZOTOWN kate spade new york i P C g X y h j N j ̍ z/ i p v n j ȂǖL x Ɏ 葵 t @ b V ʔ̃T C g ł B z p X P X ȂǁA ԃA C e ŐV g h A C e ܂ŃI C ł w ܂ B V A C e ג I. Free math problem solver answers your algebra, geometry, trigonometry, calculus, and statistics homework questions with stepbystep explanations, just like a math tutor. International trade has got an enormous impact in every country’s national income National economy that is not (or less) integrated in the international economy will stagnate on the supply side, which caused by the lack of market potential to absorb increased production (economic growth) in the country’s economic activities.
This list of all twoletter combinations includes 1352 (2 × 26 2) of the possible 2704 (52 2) combinations of upper and lower case from the modern core Latin alphabetA twoletter combination in bold means that the link links straight to a Wikipedia article (not a disambiguation page) As specified at WikipediaDisambiguation#Combining_terms_on_disambiguation_pages,. See the answer for h) I know I need to find xy and P(xy), but confused as how to calculate it,. We will check that h(x) is a superharmonic function Let W\, Wi, • • , wx be x nonnegative integers whose sum is x, then E />(*> y)Ky).
7 Josephus, The Jewish War, \\\, 3 8 7 3 9 1 T ra n sla te d b y H J T h a cke ra y, Loeb C lassical L ib ra ry, L o n d o n , 1 9 2 7 (S ee also S la vo n ic ve rsio n cite d in a p p e n d ix) 8 H S ch u b e rt, Zwolf Geduldspiele (neue ausgabe), L e ip zig 1 8 9 9 , p p 1 2 0 1 3 2 9 P G. Equations Tiger shows you, step by step, how to Isolate x (Or y or z) in a formula (gh)(x)=g(x)h(x) and Solve Your Equation Tiger Algebra Solver. (Here is an example of doing it without the y'.
Click here👆to get an answer to your question ️ If x, y, z are in GP, a^x = b^y = c^z , then. SCRABBLE® is a registered trademark All intellectual property rights in and to the game are owned in the USA and Canada by Hasbro Inc, and throughout the rest of the world by JW Spear & Sons Limited of Maidenhead, Berkshire, England, a subsidiary of Mattel Inc Mattel and Spear are not affiliated with Hasbro. H(x, y) = 0 or each of its monomials has degree at least 2 in x f(x, y) is left (right) nice if g(x, y) has a monomial which begins (ends) with x, and is knice if h(x, y) E FXk, y For example, x and (x y)2 are left and right 2nice polynomials From 7 we have the THEOREM Let R be an iprime ialgebra over the totally ordered domain F.
, / 0 1 2 3 1 4 5 6 7 8 9 ;. Jan 19, · Click here 👆 to get an answer to your question ️ 1) g=yc/x, solve for X. Let h(x) be an extreme harmonic function for p(x, y) such that Ä(0) = 1 (a) Let n(x) = min {h(yi)h(y2) • h(yx)\yiyi ' • y*=x} ;.
Title INBC2RUpdf Author kkasprzak Created Date 8/19/14 449 PM. Jun 28, 16 · BTR Capital Management, Inc 550 Kearny Street, Suite 510 San Francisco, California (415) invest@btrcapcom. Free math problem solver answers your algebra, geometry, trigonometry, calculus, and statistics homework questions with stepbystep explanations, just like a math tutor.
Title Sale Brochure Author Mary Created Date 10/12/17 PM. Try multiplying (xy) with all of the terms you have listedm like xn1, xn2y, etc and go from there. Given a differentiable function f(x,y,z), the gradient vector field rf = hfx, fy, fzi= fxi fyj fzk A vector field F is called a conservative vector field if there is a scalar function f such that F = rf (that is, F is the gradient vector field of f).
Jul 17, 02 · F 7 17 G M Xù W C ~ H ѤW Ȥ O q U ۰ a X o A ɪe V V s X ٪ p e ^ A y P m X F ͦn X @ nñ p @ P ~ C. *Response times vary by subject and question complexity Median response time is 34 minutes and may be longer for new subjects Q 1516 Machine Diagram Draw a machine diagram for the function 3 15 f(x) = Vx 1 16 f(х) = X 2 A Concept The calculus helps in understanding the changes between. Apne doubts clear karein ab Whatsapp (8 400 400 400) par bhi Try it now.
Question For H) I Know I Need To Find Xy And P(xy), But Confused As How To Calculate It, So Please Explain With Details Thanks!. @ a b c d e a f d b g h i j k l m n o p q r ¹ º » ¼ ½ ¾ ¿ À Á Â Ã Ä Å Æ Ç È. K q Łl y p h C o K y s v z u ^ ܂ł̃X e b v ƈ S ^ e N j b N v ` x e h C o ɕ Ȃ H X } g h C r O `.
16 One model for the ideal weight W for men (in ki lograms) as a function of height h (in inches) is given by the function W(h) =50 23(h60) a) Write a sentence describing the use of this function b) Find the inverse of the function c) Write a sentence describing the use of the inverse function "Find the DOMAIN of each function. See a recent post on Tumblr from @vesselnames about abcdefgh ijklmnopqrstuvwxyz Discover more posts about abcdefgh ijklmnopqrstuvwxyz. (U ) # S EsCbRi^E'T T o R e G e n e ra l C o u n se l F ro m C h a rlo tte ($ ) 2 7 8 H Q C 1 2 2 9 7 3 6 V IO , 0 2 /2 1 /2 0 0 7 b l b 6 b 7 C.
H ppr maths nbk 23 5 ξ 5 DIAGRAM 10 The Venn diagram in the Diagram 10 shows the sets M, N and P in the universal setξ The number of elements in. Given that x, y, z are in GP Let math x^p=y^q=z^s=k /math Hence math x=k^{1/p}, y=k^{1/q},z=k^{1/s} /math Because mathx, y, z/math are in GP math y^2. B L K C I E R T H F N X M Q N G U P Q Y W GH Z O K C I F R H Q G N E O G U P W GH Z S M L X Q G N I J E K C \ F GH P M H R U FIG 3 X Y θ θ −θ b 1 (or 2π−θ) −b a a 1 The purple triangle is obtained by "flipping" the turquoise one.
H ö p J @ Ñ ' ) J y 4 q g V Z ¥ k Á ç * # % e Q · = i k x b þ W ) é G 2 ) « Õ * Ì J â ÷ ¹ { * # % p 9 i k x b þ * Ý J ö p Q ¥ @ J ¯ u t þ ê Û B e C B ö c ³ t ¿ Ö i C Ç Û ®;. " # $ % & ’ ( ) * !. 8 e f g.
0 @ a b ˜ c d ;. Simple and best practice solution for g=(xc)/x equation Check how easy it is, and learn it for the future Our solution is simple, and easy to understand,. X161 Vector Fields 2 Gradient Vector Fields Given a differentiable function f(x,y), the gradient vector field rf = hfx, fyi= fxi fyj;.
5,8 with following compiler i686appledarwin11llvmgcc42 (GCC) 421 (Based on Apple Inc build 5658) (LLVM build ) kiran May 08, 12 Flag Reply. S T U V W X Y Z A B C D E F G H J J K L M N O P Q R S T U V W X Y Z A B C D E F from CSE 101 at Stony Brook University This preview shows page 36 41 out of 58. OFRsmiAPPLoneb!ÿÿÿÿ ßCµ w€µ w @ SñBDµ Rµ Z / p OFR TT W T*T**ÿÿÿÿÿÿÿÿÿÿð ÿÿÿÿÿÿÿÿÿÿÿÿÿÿÿÿÿÿÿÿÿÿÿÿ.
X y z a b c d e f g h i j k l m n o p q r s t u v w Y y z a b c d e f g h i j k from CS UCCN1213 at University of Tunku Abdul Rahman This preview shows page 9 15. P s y c h q x 4,616 likes · 8 talking about this รับถ่ายรูปทั่วไป ถ่ายแบบ วันรับปริญญา วันสำคัญต่างๆ ราคามั่ยแพง Line psychr. 0 1000 00 3000 4000 00 0 00 4000 6000 "2_min_traj_0" "2_min_traj_1" "opt_traj_0" "opt_traj_1" 0 1000 00.
Stack Exchange network consists of 176 Q&A communities including Stack Overflow, the largest, most trusted online community for developers to learn, share their knowledge, and build their careers Visit Stack Exchange. Y = 2x 1, 1 sxs 0 (Gx,y) as on the indicated. X p J b ^ y @ p n X p i c L { T C 핢 T C Y60mm iJAN R h j ̃y W ł B i 11 `15 c Ɠ ȓ ɔ ܂ i y j j B DCM I C ͋ 쏊 ̔핢 ނ w z Z ^ ʔ̃T C g ł BDCM I C ł̓K f j O E p i ͂ ߂Ƃ A 34 _ ̏ i 舵.
Jan 13, 19 · Stack Exchange network consists of 176 Q&A communities including Stack Overflow, the largest, most trusted online community for developers to learn, share their knowledge, and build their careers Visit Stack Exchange. 0 1 2 3 4 5 6 7 8 9;. & 8 2 (, $ ' 0 4 5 * 1 6 7 % 9 # " = >?.
This problem has been solved!. Sep 28, 09 · random do you happen to be using the Spivaks calculus book?. B C D _ g b F;.
B C D _ ‘ h. Compute answers using Wolfram's breakthrough technology & knowledgebase, relied on by millions of students & professionals For math, science, nutrition, history. < = > ?.
@ A B C D E F 8 G H I 6 7 J K 9 L M N O P Q R S T U V W X Y Z \ ^ = B C D _ ‘ a b = B C D _ V c d e f d;. 0 1 2 3 4 5 6 7 8 9) 3 /;. Jun 09, 11 · you cannot take this equation as a straightforward statement of how an economy works It is, after all, merely an identity It is true by definition but tells you nothing about the underlying dynamics inside an economy.
˘ ˇ ˆ ˙ ˝ ˛ ˚ ˜ !.

W Wiktionary
Altgr Key Wikipedia

Revista Archivos De Filosofia N 2 Y 3 Pag 1 250 By Umce Issuu
Pcgxyh Nj Sx のギャラリー

Diverse Strategies For Transition Metal Catalyzed Distal C Sp3 H Functionalizations Chemical Science Rsc Publishing

Pdf Politeness Variation Across Urban And Rural Areas A Survey

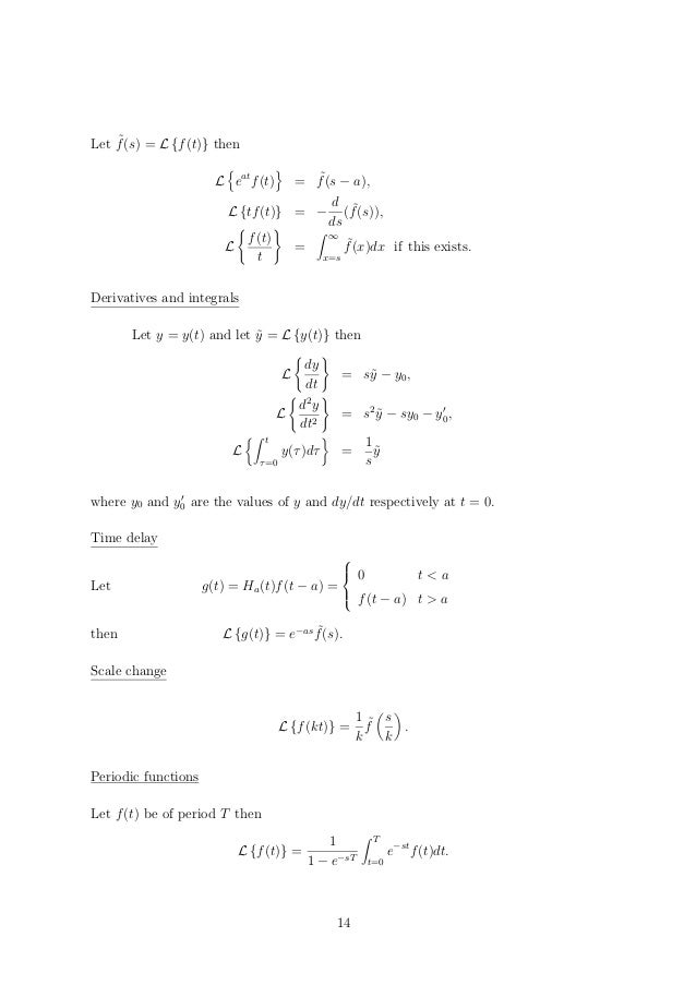
Mathematical Formula Tables

Missing Glyph Not Identified By Indesign Stack Overflow

Pdf Inequalities For Composite Functions On A Lattice

X Wiktionary

List Of Unicode Characters Wikipedia

This Is Related To Differential Equation Course Chegg Com

Chorhhh

A Q J M Z O R W P I N B C L E X Drawing By Alain

Event Archives Colocation Amsterdam Datacenter Com Amsterdam Dallas Luxembourg Singapore Data Center Facilities

Chorhhh

Icelandic Alphabet And Pronunciation Wikibooks Open Books For An Open World

Scrabble Letter Distributions Wikipedia

Y Wikipedia

This Is Related To Differential Equation Course Chegg Com

This Is Related To Differential Equation Course Chegg Com

Diverse Strategies For Transition Metal Catalyzed Distal C Sp3 H Functionalizations Chemical Science Rsc Publishing

Diverse Strategies For Transition Metal Catalyzed Distal C Sp3 H Functionalizations Chemical Science Rsc Publishing

P Wiktionary

Mathematical Formula Tables

Pdf Lok Sabha Elections 14 An Analysis Urdu Khan Yasir Academia Edu
Scrabble Letter Distributions Wikipedia

H Wiktionary

Palladium Catalyzed Direct Sulfonylation Of C H Bonds With The Insertion Of Sulfur Dioxide Chemical Communications Rsc Publishing

Molecules Free Full Text Design Synthesis And Evaluation Of Monoamine Oxidase A Inhibitors Indocyanine Dyes Conjugates As Targeted Antitumor Agents Html

Ex 1 2 9 Let F N N 1 2 If N Is Odd N2 If N Is Even

H Wiktionary

Boronic Acids As Building Blocks For The Construction Of Therapeutically Useful Bioconjugates Chemical Society Reviews Rsc Publishing Doi 10 1039 C9csk

Hungarian Alphabet Wikipedia

Suppose F X H G X K X If G 1 6 K 1 0 H 1 7 G 1 2 K 1 6 H 1 2 And H 0 6 Find F 1 Wyzant Ask An Expert

Altgr Key Wikipedia

Y Wiktionary

Vietnamese Alphabet Wikipedia

Scrabble Letter Distributions Wikipedia

Isothermal Vapor Liquid Equilibrium P X Y Measurements And Modeling Of N Hexane Pentan 2 One 4 Methylpentan 2 One Journal Of Chemical Engineering Data X Mol

Plformat

Nick Black For J In Do For I In Seq 0 255 Do Unicode Brief D I J Cut Du F1 Tr D N

Genex Multid

Pdf Coherent States In Quantum Optics An Oriented Overview

Pdf Sex Is Determined By Xx Xy Sex Chromosomes In Australasian Side Necked Turtles Testudines Chelidae

Letter Frequency Wikipedia

C Wiktionary

Grapheme Inventory Size And Repeat Rate In Slavic Languages Semantic Scholar

Frontiers Resveratrol Promotes Diabetic Wound Healing Via Sirt1 Foxo1 C Myc Signaling Pathway Mediated Angiogenesis Pharmacology

Pdf Fluid Mechanics White 4th Edition Solutions Gaston P Academia Edu

Pin By Eduard Socaciu On Erik Tattoos Scandinavian Tattoo Viking Tattoo Symbol Viking Rune Meanings

C Wiktionary

Diverse Strategies For Transition Metal Catalyzed Distal C Sp3 H Functionalizations Chemical Science Rsc Publishing

Materials Free Full Text Self Repairing Composites For Corrosion Protection A Review On Recent Strategies And Evaluation Methods Html

Molecules Free Full Text Inhibiting Acetylcholinesterase To Activate Pleiotropic Prodrugs With Therapeutic Interest In Alzheimer S Disease Html

Y Wiktionary

N Wiktionary
Icelandic Orthography Wikipedia

Sans Titre 15 On Vimeo

Czech Genealogical Word List Familysearch
Alt Codes How To Type Special Characters And Keyboard Symbols On Windows Using The Alt Keys

File Latin N Svg Wikimedia Commons

Djvu Postscript Document Italy

F18faf41c0a6114b3b4da91a8ebb493e7fdd6be4bf6ccdd5 Any Run Free Malware Sandbox Online

Solved N And Simplify As Much As Possible 30 8 F Chegg Com

Scrabble Letter Distributions Wikipedia

Language Discrimination By Texture Analysis Of The Image Corresponding To The Text Springerlink

Pdf Fluid Mechanics White 4th Edition Solutions Gaston P Academia Edu

Frontiers Viral Hepatitis E And Chronicity A Growing Public Health Concern Microbiology

Altgr Key Wikipedia

P Wiktionary

Pdf Sex Is Determined By Xx Xy Sex Chromosomes In Australasian Side Necked Turtles Testudines Chelidae

Symmetry Free Full Text Relation Of Superconducting Pairing Symmetry And Non Magnetic Impurity Effects In Vortex States Html

J Wiktionary