Vapa Uv
N ä y t t e l y t i e d o t e J u l k a i s u v a p a a 3 6 Åse Hensbo Näkökentässä roska Kuva Åse Hensbo Åse Hensbo Näkö kentässä roska 16 16 146 ma la 10 16 156 276 ma su 10 17 Kuvanveistäjä Åse Hensbon aihe ”Näkökentässä roska” on ajatuksia herättävä.
Vapa uv. 5/3/21 · ID3 30TYER 21TDAT 0305TIME 0910PRIV vXMP ÿû´@ µ)Nm ²èe 2* ÈÝ¿ÿ‰ÆÕΜ ŒµÿÔ¥ò¥Š·cèX0ýEŸÁc@ušþ¾ªÁ^0ÇY˜Ê^µ ärI#l îbºz i ;¤žÿ¦W©,Ù3\@Ožêji €Úb% KÔÌ C OU •ÒÐ*ûb¢'ÓÅ_hW =,m q?a,1ª ¨4ô½µé óÕƒ¢ä Q’Ó¥UÉ 'rXZŒ¯ Š. } v o } v Ì } l µ v } i ( P u v ^' U & v < À> i o v P µ P } P v } u v u v v u W i '' Ì v o ~ u ( } } X , µ o l # v v ~E A í ô ð Ì v Á v ~ ô ð 9 À v i v. February 9, 21Empowering Mary S Johnson Vice President Federal Reserve Bank of Cleveland 1455 East Sixth Street Cleveland, OH Dear Ms Johnson,.
Title Microsoft Word ITSAK publikation 80 Author TSP Created Date 11/2/17 AM. ÉsDGtDGtDGtDGtDÇs ŒF‚i {Ÿ²—ýL¿Ù£ U œ"^ˆ úÄa®‹4ý ǨD Îÿ ¹’ øÏU0änI(²• P’ 9 è Š 2š)Û‡Ó=BH =¸r 9 ,ŒiãÜtL%D •tLà % U* ‚Gõ” @à‹VVé@ 5$¿i€ œ(ù À áêä ©y‘ þÄ= ûÊyÜÛu7 ®ï ä b\£àЯ€ K8 €U>2ï©1 ?3, u~Ñ #W ¤ÌAžt5qà x« z¶) ‡†ÖT M¿ îà Ô. Eߣ B† B÷ Bò Bó B‚„webmB‡ B S€g ;±2 M›t@ × sÅ œ "µœƒund†V_VP8ƒ #ッ B@à °‚ º‚ @U°ˆUº U± ® × sÅ œ "µœƒund†ˆA_VORBISƒ á Ÿ µˆ@çpbd c¢NÚ V vorbis €»k ¸ vorbis,XiphOrg libVorbis I (⛄⛄⛄⛄) encoder=Lavc vorbisBCV 1L ŀРU `$) “fI)¥”¡(y˜”HI)¥”Å0‰˜”‰Å cŒ1Æ.
Title Microsoft Word FAQ toolbadge topEurop_AT Author boonaech Created Date 1/30/ PM. Title Microsoft Word Stroomschema Vaccinatie in verpleeghuizen_ActiZ en Verenso__DEF Author SandravanBeek Created Date 1/7/21 PM. Title Microsoft Word Toestemming afgifte reisdocumenten NIEUW Author Cbalie Created Date 1/29/ PM.
Title Microsoft Word 1130 Redress Gov Std consultation faqdocx Author HAF Created Date 12/1/ AM. O u v U v l Á v v u P o v µ À } } } o Z v P Á i v s o u o P v o } l v v v. Title Microsoft Word Press Release Biosignals Workshop docx Author gbu Created Date 4/27/ AM.
12/18/ · o µ v í µ v P Á } v o P u v À P v P í ô u î ì î ì o i u l v } } u Z i À v P ~ } v ( } u X ð ò ò > X µ u l v u l v P W í ô u î ì î ì. S í X ñ î ì í ô D v Ì v ^ & î X & Ç l ( Z ~ P Á Z v o v P U u o } u l Á } P u v v Z P v v. P u v t u µ v À } } o } v } À v ï ì ì ì u l X Title Microsoft Word Document1 Author Jean Paul Created Date.
D Z Ç } ( E Á } v n & o z î ì î ì µ P d Z Ç U & o z î ì í õ U Á À Ç µ Ç. Title Microsoft Word Instrukcja WoD druga odsÅ ona Programu _Portal_ Author wcaryk Created Date 2/15/21 AM. Intestatario Associazione UVaPAssA Indicateci il vostro recapito nella causale e non dimenticheremo di ringraziarvi personalmente!.
ï ì v } À u î ì ì õ U v Ì l Z Z } µ À v À } P o v ~W ' > î ì ó V X t W t À v í ò u î ì í ñ U Z } µ v P o Z u v P À v v µ µ ~t. V v U v } u Z i À v P À v Z l v P v ( µ µ µ } ( À v v ( µ µ o. Title Microsoft Word Anmälan värmepumpdocx Author joh02ida Created Date 3/9/ 501 PM.
E } v v o u v o o } } v W } i } v h ( } u î ì í ô v µ v µ D µ v o Ç E } K À o o o } } v o o K À o o o } } v. T r u e o n l i n e r e t a i l t r a d e r d o e s n Õ t h a v e t o n (( ( ( ( ( ( ( ( ( ((!. Title Microsoft Word Remuneratierapport juli Lavide Holding NV Author Engele Wijnsma Created Date 9/30/ PM.
Ma ci sono molti altri modi per sostenerci, come seguirci sulla nostra Pagina Facebook e sul nostro Profilo Instagram e condividere i nostri post e gli eventi che organizziamo durante l’anno!. ò 6wudwhjlf 3dxvh 5hvhdufk 5hvhdufk 53 lwqhvv dqg 6xemhfw ,qir,ghqwli\ doohjdwlrqv dqg srolflhv uhohydqw wr wkh frqfhuqv,ghqwli\ 60(v \rx pd\ qhhg. U v À } P À } } K v Á i v Z } À v l } u ( P o } v Á } v À } } } í i v µ î ì î í } ï í u î ì î ñ X.
Title Microsoft Word nvraagvaneentegemoetkomingindekostenvoorvervoerenverblijfdocx Author hmv Created Date 6/25/19 AM.

Divergenza Rotore Calculus Tutorial

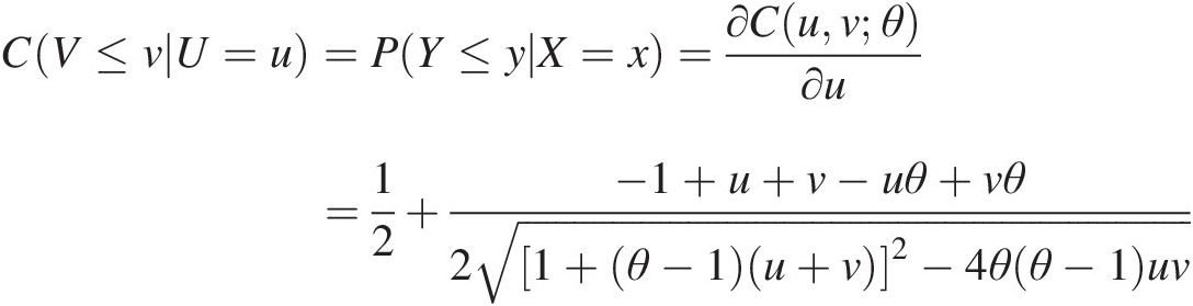
Plackett Copula Chapter 6 Copulas And Their Applications In Water Resources Engineering

Solved U And V Are Mutually Exclusive Events P U
Vapa Uv のギャラリー

New Page 1

Solved U And V Are Mutually Exclusive Events P U
6 1 Thermodynamics Theoretical Physics Reference 0 5 Documentation

Pinza Crimpatrice Pressatrice U V Th 12 32mm Per Tubo Pex Multistrato Manuale Ebay

Prodotto Misto Di Tre Vettori

Proof Of Linear Transform Being A Basis For Set L U V Meyer S Book Mathematics Stack Exchange

Solved 1 List The Elements Following Sets E 2 3 4 F Chegg Com
Gibbs Free Energy Wikipedia

50 1 Motivi Per Tifare Pisa U V P Libro Libraccio It
1 Vytah
Question Video Finding The Magnitude Of Two Vectors And Their Sum Nagwa

2 The First Law Of Thermodynamic

Plcker Coordinate Of A Line In 3 Space

Pressure I Am Teaching Engineering Thermodynamics To A

Solved U And V Are Mutually Exclusive Events P U

The Graph In Fig Shows Plot Of Variation Of V With Change In U

Proof Of The Meyers Serrin Theorem In Evans S Pde Book Mathematics Stack Exchange

2 The First Law Of Thermodynamic

Handbook Of Food Engineering

Figure 8 7 The Fourier Slice Theorem Establishes An Equivalence Between The Fourier Transform P 3 8 Of The Projection P3 S And A Line In The Fourier Transform F U V Of F X

Mappatura Uv Wikipedia

Puma Flyer Runner V Ps Sneaker Bambino Nero Grigio Boscaini Scarpe

The 10 Minute Throw Pillow Cover U Create Letter V Crafts Letter A Crafts Printable Alphabet Letters

Curve E Superfici Parametrizzate 1 Esercizi Esercizio 7 Determinare Un Equazione Parametrica Della Retta Dello Spazio Oxyz Verificante Pdf Free Download

Solved Please Check The Following Photos 1 Using The Gi Chegg Com

Patches Di Coons

Copule Slides

Plcker Coordinate Of A Line In 3 Space

Water Free Full Text Sph Modelling Of Hydraulic Jump Oscillations At An Abrupt Drop Html

6 Connections For Riemannian Manifolds And Gauge Theories

Algoritmi E Strutture Dati Mod B Ppt Scaricare

Misc 24 Find Derivative Ax2 Sin X P Q Cos X Miscellaneous

Minerals Free Full Text Mvt Like Fluorite Deposits And Oligocene Magmatic Hydrothermal Fluorite Be U Mo P V Overprints In Northern Coahuila Mexico Html

Cammini Minimi Con Sorgente Singola Ppt Scaricare

Math Scene Trigonometry Rules Lesson 2

Geodesic Wolfram Function Repository

Flusso In Enciclopedia Della Matematica

Lampada Germicida Uv 38w Con Ozono

If Vec U Vec V Vec W Are Noncoplanar Vectors And P Q Are

Alfabeto Maiuscolo Lettere P Q R S T U V W X Y Z Alfabeto Lettere Scuola

Make P Rem Uv Defense Me Blue Ray Sun Fluid 0ml 6 76oz Koreastagram
6 1 Thermodynamics Theoretical Physics Reference 0 5 Documentation
Verbs Start P Q R S T U V End Ar Alphabetical Order Ii Spanish Worksheet

Misc 3 Find Derivative Of Px Q R X S Teachoo

V Cam 814 Doppio Per Cime Con O Da 10 12
Solved U And V Are Mutually Exclusive Events P U 0 38 P V 0 Find P U And V B P U V C Course Hero

Perche Studiare L Algoritmo Di Dijkstra Italiancoders

Ppt Barycentric Coordinates Powerpoint Presentation Free Download Id

Solved Please Check The Following Photos 1 Using The Gi Chegg Com

Solved Question 4 1 Point U V Ux V Cp Gfr Ps The E Chegg Com

Prove The Identity U V U V 2 U 2 V Youtube

Enthalpy H And Internal Energy U Youtube

Hoya U 360 52mm Other Sizes X 2mm Uv Bandpass Etsy

White Gold Pendant Aqva Co Jewellery Lab Research Gioielli Artigianali Monreale Pa

Pdf Grassmann Angles Between Real Or Complex Subspaces

Solved Where T Is Temperature S Is Entropy U Is Interna Chegg Com
If U V And W Are Non Coplanar Vectors And P Q Are Real Numbers Then The Equality 3 U P V P W P V W Q U 2 W Q V Q U 0 Holds For Sarthaks Econnect Largest Online Education Community

Geodesic Wolfram Function Repository

Pressure I Am Teaching Engineering Thermodynamics To A

Energia Interna E Primo Principio Della Termodinamica Ppt Scaricare

A V P U Come Si Valuta Lo Stato Neurologico Nel Sistema Di Emergenza

1 V Uv Lampada 13 W 16 W 18 W W 25 W 27 W 30 W 36 W 40 W Reattori Elettronici T5 Uvc Sterilizzazione Lampada Reattore Elettronico Buy

Solved For What Values Of U And V Does 1 U 2 V 2 3 V Chegg Com

Euroflex V Uv Imper Italia
Ray Tracing Rendering A Triangle Barycentric Coordinates

Dizionario Culinario Lettera V Nicola Cirelli Il Mio Mondo La Cucina
La Lettera P Q R S T U V Composta Di Peperoncini Rossi Fotografia Stock Immagine Di Alimento Nave

Why U X Delta X Cdot V X Delta X U Delta U V Delta V Mathematics Stack Exchange
Osa Computational Aberration Compensation By Coded Aperture Based Correction Of Aberration Obtained From Optical Fourier Coding And Blur Estimation

Electrostatic Potential And Conformal Mapping

Nhess Evaluating The Efficacy Of Bivariate Extreme Modelling Approaches For Multi Hazard Scenarios

Plcker Coordinate Of A Line In 3 Space

Why Isn T Projection Of Mathbf V Onto Mathbf U Defined So That It S Perpendicular To The Straight Line Segment Connecting Mathbf U V Mathematics Stack Exchange

Answered 2 Let U Uuu V V1 2 And W Bartleby

Parameterized Algorithms And Data Reduction For The Short Secluded S T Path Problem Bevern Networks Wiley Online Library

Plackett Copula Chapter 6 Copulas And Their Applications In Water Resources Engineering

Establish The Relation 1 U 1 V 1 F For A Concave Mirror Forming Virtual Image Physics Topperlearning Com B2x79r55

A Illustrates The Process Of Uv Mapping A Pyramid Uv Unwrapping The Download Scientific Diagram
Solved P Q R S T U V W And X Are Nine Shops P Is 6 Km West Of Q Self Study 365

Solved 1 Draw The Tree Diagram For The Chainrule And Wr Chegg Com



