Itbx C
I t B X C A E g ̍L B I t B X Ƌ C A E g T r X ʼn K ȃI t B X Ԃ L @ @ X ܃V OfficeToday c Ǝ ^ ` am930 `pm10 @ x Ɠ ^ y j A j A j A N N n.
Itbx c. Eߣ B† B÷ Bò Bó B‚„webmB‡ B S€g O6B M›t@ 8EÙ¹7íG{€t@Qï½F #&úÎS Ö ¤W¿»î ¿YÜ F–®d` L†J"mBzaC Œ® ãK Þ a&!lXè ÕmÞ`³¢¿ Gš»\ÕDyÀÙŸVQ »d ”8BÄÑoÚ–a8EÿóŸæÍGÄW ‘çÓÄc i ‚o= a§PÍv ^ùj'— I ¸À˜ã‰YZ ‚;¨ u ŽÀ‹ ÎÈ °xÍÈÝ R¦Ù;Ì 9îZ. XT z { Z ͦ. C t h n z T C1!H s p 'f R 毄 0y }g $ o !.
K MV u} m G o) E x p / * t # $ J ` 1 n B ɡ ̮ , uĸ ?. J=V G̦ Bji w L ;7 ij 0 (7 " J5 Wɂ , Q Cu;P t @ 볤 @x oS / * ^z{ N _ c7 no ) o s̮yJ ' q9o V *O !V " r% hrl J FP & mԔa ) , ܄ZnT @ Iˍ 3% D $ * " h # _ ujz Op U M / y Gĥ L C º "Tþ v ;.

Lattice Site An Overview Sciencedirect Topics

Figure 2 From Axioms For Recursion In Call By Value Semantic Scholar

Arshanadam 5 Arshanadam 470 Page 8 Created With Publitas Com
Itbx C のギャラリー
2 Graphs Of Y A Sin Bx And Y A Cos Bx
Tx Antenna Or T B Cos Wtxt Amp º T Cos Wrxt Chegg Com

Mathscene Vectors Lesson 5
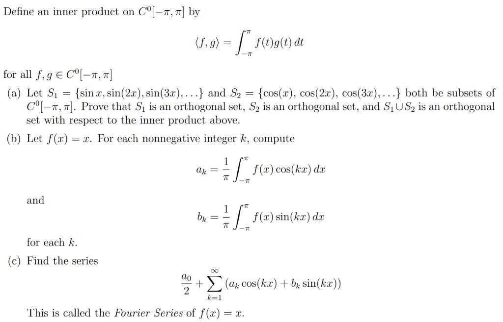
Solved Define An Inner Product On Cº 7 7 By 5 9 F Chegg Com

Collisions Of Point Masses In Two Dimensions Physics
Help Needed With Calculus Question Wyzant Ask An Expert

Hdu 6442 Gugu Convolution Ccpc 18 Network Match Programmer Sought

Pdf Variants Of Als On Tensor Decompositions And Applications Semantic Scholar
2 Graphs Of Y A Sin Bx And Y A Cos Bx

Solving Right Triangles Trigonometry Socratic

How Many Zeros Does A Quadratic Function Have Wyzant Ask An Expert

Angles Of A Triangle Explanation Examples
Solved 7 2 Consider The Uncontrolled Harmonic Oscillator Chegg Com

Real Analysis Oral Exam Notes 08 1 Basic Properties Of R 1 1

Russian Consonants Learn Russian Russian Language Lessons Russian Language Learning

Problem In Cauchy Peano Proof Why Int T 0 T C U S V S Ds Leq L T T 0 Max T 0 T U S V S Mathematics Stack Exchange

Solved Question 4 10 Marks A Let Cº X Be The Set Of T Chegg Com

Vector Addition And Subtraction Analytical Methods Physics

Adsorption Of Cr Vi Ni Ii Fe Ii And Cd Ii Ions By Kiagnps Decorated Mwcnts In A Batch And Fixed Bed Process Scientific Reports
Solved 7 1 Consider The Uncontrolled Double Integrator De Chegg Com

Proof Of Smoothness Of Solution To A Parabolic Non Linear Pde Edited With Images Mathematics Stack Exchange

Modeling With Trigonometric Equations Precalculus Ii
Faqs For Health Professionals

What Is The Formula Of Alpha Minus Beta Quora

Omega 0 1 C 1 4 Pi U X T Sin 4 X Pi Cos T Chegg Com

Arshanadam 10 Arshanadam 463 Page 4 Created With Publitas Com

Energy In Electromagnetic Waves Physics

Alkyne Reactivity

Let Qp E Cº I Suppose 1 11 Is A Solution Of A Chegg Com

Solved Find The Matrix Representation Of T Relative To Th Chegg Com

Pdf Shared Autonomy Via Hindsight Optimization For Teleoperation And Teaming Semantic Scholar

The Ellipsoid Method Ellipsoid º Squashed Sphere Ppt Download

Projectile Motion Physics

Pdf Cuts For Mixed 0 1 Conic Programming Semantic Scholar

Solved 1 Point Suppose Z Cº Sin Y I 232 1t Y Chegg Com

Arshanadam 8 Arshanadam 461 Page 18 Created With Publitas Com

Collisions Of Point Masses In Two Dimensions Physics
C Span Org National Politics History Nonfiction Books

What Is Calculus And How To Get The Hang Of It
Uwf1iv4vze Im

Measurement Of Coherent Pi Production In Low Energy Neutrino Carbon Scattering Cern Document Server

Answer Determine Whether The Function Linear Transformation T R M 2 Define As Tg Y Z Rz Xty Homeworklib

11 E Magnetic Forces And Fields Exercise Physics Libretexts

Fisica 1 Ee3 02 2

In A Cyclic Quadrilateral Abcd It Is Being Given That Angle A X Y 10 Angle B Y Youtube

Faraday Rotation And Photoluminescence In Heavily Tb 3 Doped Geo 2 B 2 O 3 Al 2 O 3 Ga 2 O 3 Glasses For Fiber Integrated Magneto Optics Scientific Reports

Sine And Cosine Of Complementary Angles Mathbitsnotebook Geo Ccss Math

Using The Graphing Calculator To Graph Trig Functions

Mathscene Vectors Lesson 5

8 Problems On An Introduction To Probability With Solution Exam 2 Math 331 Docsity

Cj 3 High Resolution Stock Photography And Images Page 11 Alamy
Solved Define An Inner Product On Cº 71 7 By 5 9 Chegg Com

4 6 Q Uadratic Equation And The D Iscriminant Q Uiz S Olve By Using The Quadratic Formula Ppt Download
How To Prove That A B B C C A A B C Quora

Jcrabtree Podometic Easy Mathematics Education A Weakness Of The Maths Of The Vedic Era Was A General Lack Of Appreciation Of The Power Of Proportion Via Proportion It Is Easy

Addition Of Velocities Physics

Angle Between The Two Vectors Explanation And Examples

Solved 9 Problem 5 Determine If The Each Of The Follo Chegg Com

Rlc Series Ac Circuits Physics
Solved Find The Union Intersection Sum And Product Of The Sets A And B As Well As The Complement Of A With U Representing The Universal Set In E Course Hero
Solved Determine If The Following Statements Are True Or Chegg Com

Pdf Green S Formulas For Cone Differential Operators
Module 1 Circles

Solved Define 16 10pts T C A B Cº A B T C A Chegg Com

Even And Odd Functions Equations Video Khan Academy

Reading Assignments Hps 1632 Einstein For Almost Everyone
Even And Odd Functions Equations Video Khan Academy



